• Предмет: Математика
  • Автор: mironova6577
  • Вопрос задан 8 лет назад

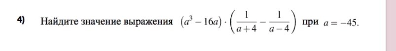
Помогите решить!!!!!!!!!!!!!!!!!!!!!!!!!!!!!!!!!!!!!!

Приложения:

Ответы

Ответ дал: Nikolaev60
0
я не пользовался способом упрощения выражения, Я просто сразу подставил числу под букву а
Приложения:
Вас заинтересует