• Предмет: Алгебра
  • Автор: 66124955
  • Вопрос задан 9 лет назад

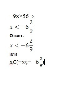
решить неравенство а) 7x<-14 б) -9x>56 в) 1,5(x-4)-3,5x-42-3x 11-4x>35

Ответы

Ответ дал: kakblrka84
0
а)

7x<−14 ⇒
x<−2

Ответ:

x<−2x<−2

или

x∈(−∞;−2)

Приложения:
Вас заинтересует