• Предмет: Математика
  • Автор: help507
  • Вопрос задан 9 лет назад

помогите срочно

пожалуйста

Приложения:

Ответы

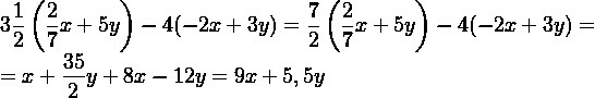
Ответ дал: Trover
0
3frac12left(frac27x+5yright)-4(-2x+3y)=frac72left(frac27x+5yright)-4(-2x+3y)=\=x+frac{35}2y+8x-12y=9x+5,5y
Приложения:
Вас заинтересует