Ответы
Ответ дал:
0
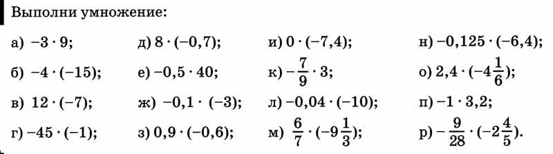
-3*9=-27
-4*(-15)=60
12*(-7)=-84
-45*(-1)=45
8*(-0.7)=-5,6
-0,5*40=-20
-0,1*(-3)=0,3
0,9*(-0,6)=-0,54
0*(-7,4)=0
-7/9*3=-7/3=-2 1/3
-0,04*(-10)=0,4
6/7*(-9 1/3)=6/7*(-28/3)=-8
-0,125*(-6,4)=0,8
2,4*(-4 1/6)=24/10*(-25/6)=-4/2=-2
-1*3,2=-3,2
-9/28*(-2 4/5)=-9/28*(-14/5)=-9/10=-0,9
-4*(-15)=60
12*(-7)=-84
-45*(-1)=45
8*(-0.7)=-5,6
-0,5*40=-20
-0,1*(-3)=0,3
0,9*(-0,6)=-0,54
0*(-7,4)=0
-7/9*3=-7/3=-2 1/3
-0,04*(-10)=0,4
6/7*(-9 1/3)=6/7*(-28/3)=-8
-0,125*(-6,4)=0,8
2,4*(-4 1/6)=24/10*(-25/6)=-4/2=-2
-1*3,2=-3,2
-9/28*(-2 4/5)=-9/28*(-14/5)=-9/10=-0,9
Вас заинтересует
3 года назад
3 года назад
9 лет назад
9 лет назад
10 лет назад