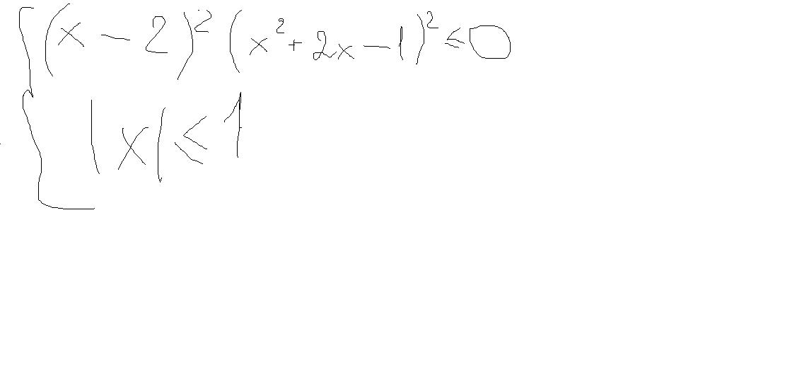
Задание во вложениях на фото!!!
Распишите задание, как можно подробнее, с разъяснениями
Спасибо!!!
Приложения:
Ответы
Ответ дал:
0
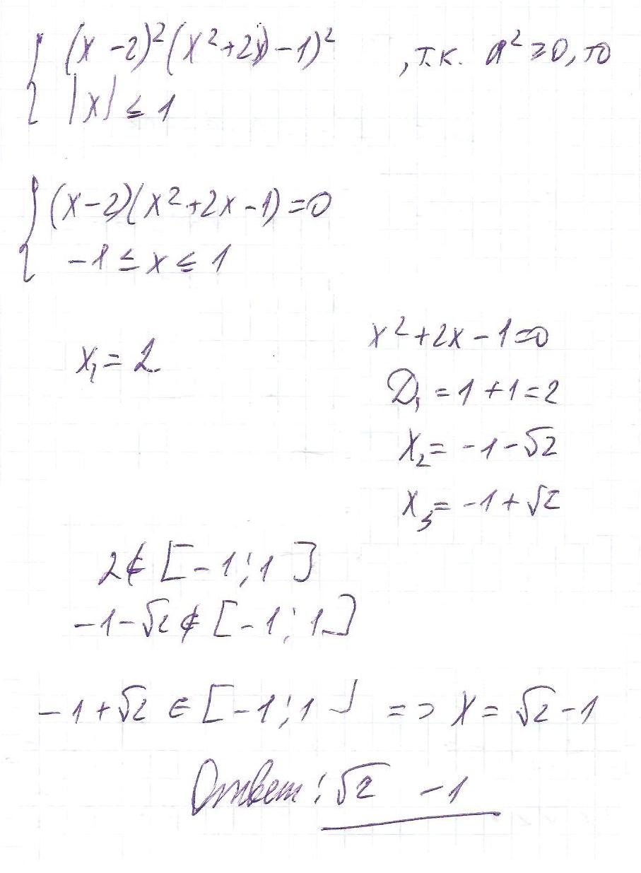
Надеюсь будет понятно...
По поводу графика: ищем такие точки, в которых график модуля (зеленый) не ниже оси абсцисс и график произведения квадратичных функций (оранжевый) также не ниже оси абсцисс. В вариантах у нас три точки - пересечения оранжевого графика с осью х, но только одна из них (в ответе написано какая) лежит на отрезке, где модуль не выше оси х.
По поводу графика: ищем такие точки, в которых график модуля (зеленый) не ниже оси абсцисс и график произведения квадратичных функций (оранжевый) также не ниже оси абсцисс. В вариантах у нас три точки - пересечения оранжевого графика с осью х, но только одна из них (в ответе написано какая) лежит на отрезке, где модуль не выше оси х.
Приложения:
Вас заинтересует
3 года назад
8 лет назад
8 лет назад
11 лет назад
11 лет назад