• Предмет: Алгебра
  • Автор: nvfaaf45
  • Вопрос задан 9 лет назад

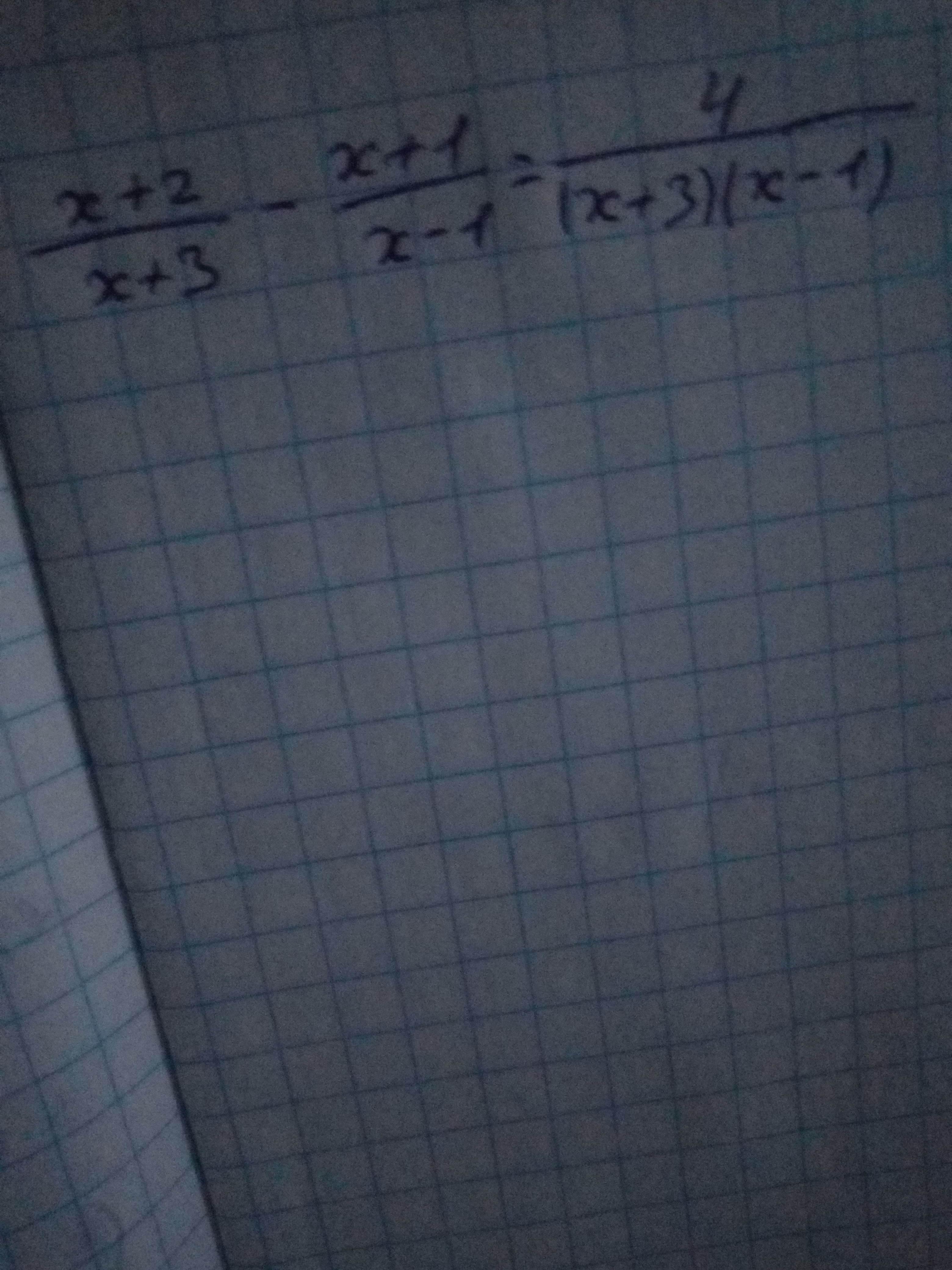
Решите уравнение.
Заранее спасибо)

Приложения:

Ответы

Ответ дал: Luckyoladushek
0
 frac{x + 2}{x + 3} - frac{x + 1}{x - 1} = frac{4}{(x + 3)(x - 1)}

 frac{(x - 1)(x + 2) - (x + 3)(x + 1)}{(x + 3)(x - 1)} = frac{4}{(x + 3)(x - 1)}

(x - 1)(x + 2) - (x+ 1)(x + 3) = 4

 {x}^{2} + 2x - x - 2 - {x}^{2} - x - 3x - 3 = 4

х² и -х² сокращается

2x - 5x - 5 = 4

 - 3x = 4 + 5 \ - 3x = 9 \ x = - 3
Ответ дал: nvfaaf45
0
Спасибо
Вас заинтересует