Определите кинетическую энергию Ek шарика в момент вылета из ствола пружинного пистолета, если жёсткость пружины равна 100H/м, а до выстрела пружина была сжата на х-4 см. Ответ выразить в МДж, округлив до целых. Трением пренебречь.
Ответы
Ответ дал:
0
Дано
m=0,005Кг
К=200 Н/М
х=0,05 м.
Е(К)=?
V=?
Решение:
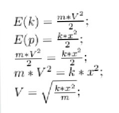
Из условия задачи видно, что потенциальная энергия пружины равна кинетической энергии шарика в момент выстрела
Считаем:
V=((200*0,05^2)/0,005)=10 см
Теперь нужно найти кинетическую энергию:
Е(к)=(0,005*100)/2=0,25Дж
m=0,005Кг
К=200 Н/М
х=0,05 м.
Е(К)=?
V=?
Решение:
Из условия задачи видно, что потенциальная энергия пружины равна кинетической энергии шарика в момент выстрела
Считаем:
V=((200*0,05^2)/0,005)=10 см
Теперь нужно найти кинетическую энергию:
Е(к)=(0,005*100)/2=0,25Дж
Приложения:
Вас заинтересует
2 года назад
2 года назад
3 года назад
3 года назад
9 лет назад