• Предмет: Алгебра
  • Автор: olegmv77
  • Вопрос задан 9 лет назад

помогите решить пожалуйста

Приложения:

Ответы

Ответ дал: bearcab
0
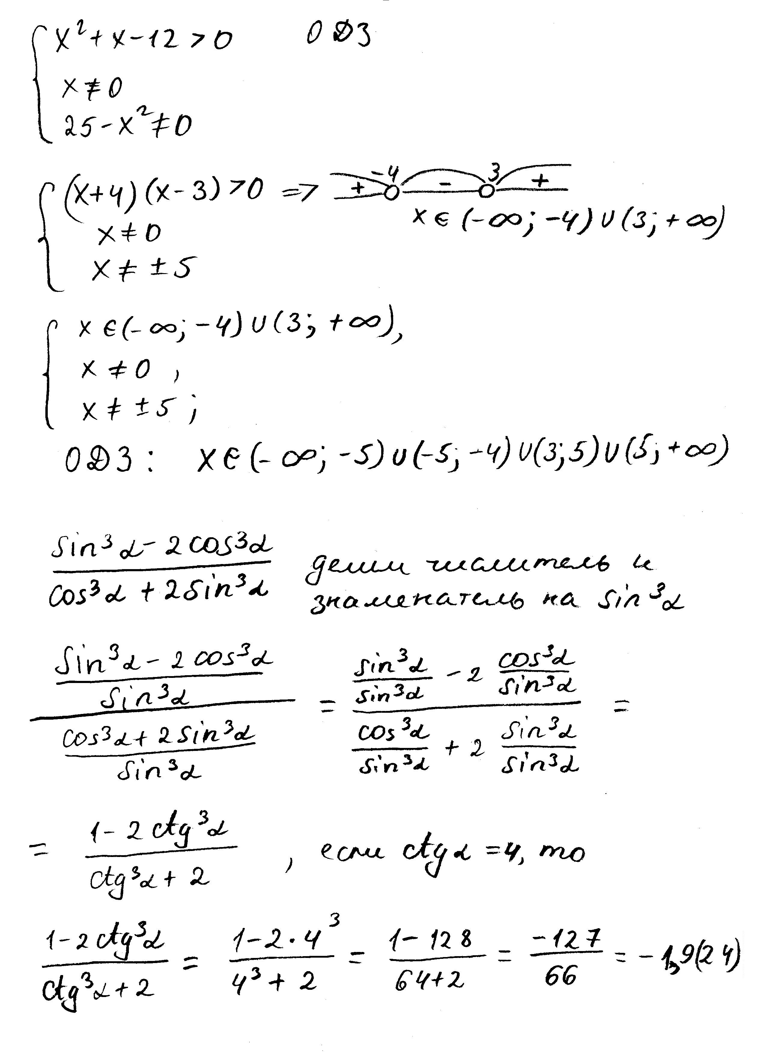
Решение в приложении
Приложения:
Вас заинтересует