• Предмет: Алгебра
  • Автор: kesaevalina16
  • Вопрос задан 9 лет назад

Помогите пожалуйста.
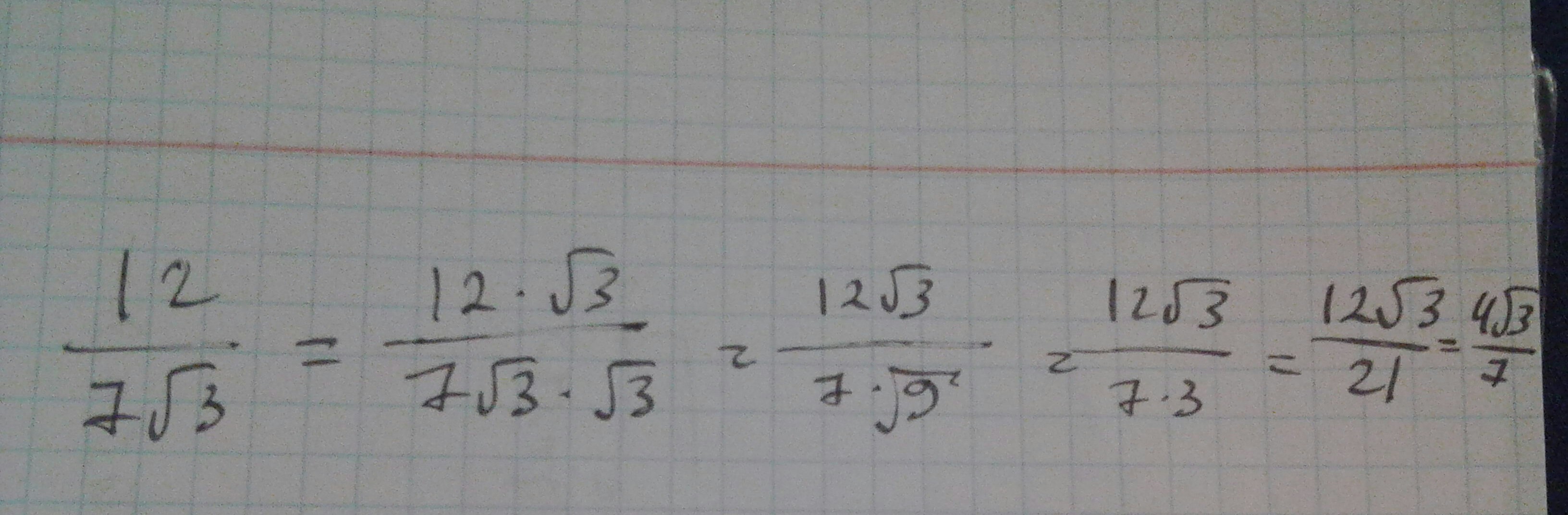
Надо избавиться от иррациональности
12
------ }это дробь
7√3

Ответы

Ответ дал: mooniiree
0
смотри ответ во вложении.
Приложения:
Ответ дал: Энгорск
0
спес
Вас заинтересует