• Предмет: Алгебра
  • Автор: terrupon
  • Вопрос задан 2 года назад

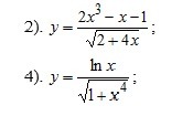
30 баллов! Найти производные заданных функций

Приложения:

Ответы

Ответ дал: m11m
1
!!!!!!!!!!!!!!!!!!!!!!!!
Приложения:
Вас заинтересует