• Предмет: Алгебра
  • Автор: fdgdfgdfg2р
  • Вопрос задан 2 года назад

Помогите уже 30 мин сижу ( решите уравнение )

Приложения:

Ответы

Ответ дал: Universalka
0
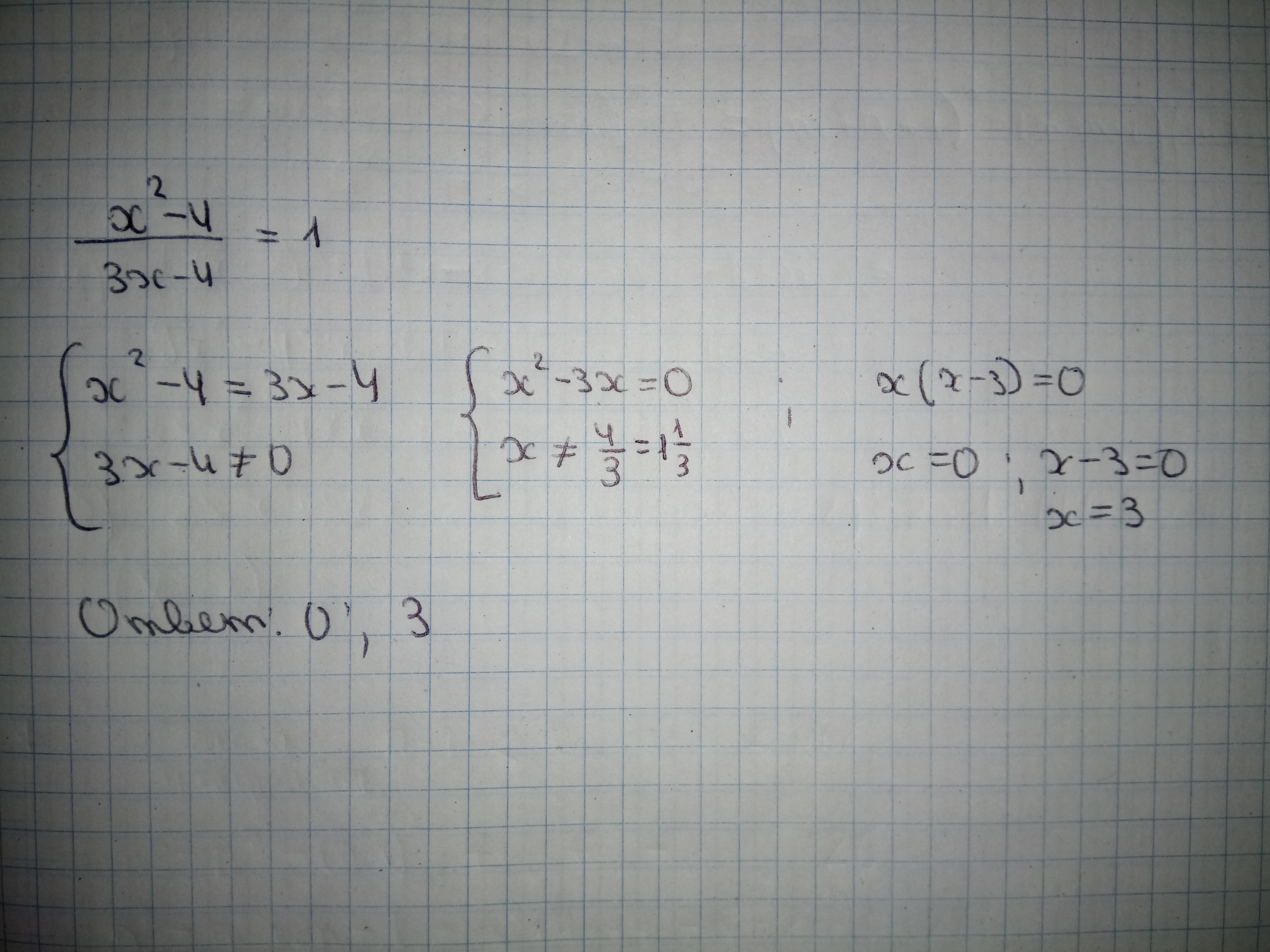
 \frac{ x^{2} -4}{3x-4} =1\\\\ \frac{ x^{2} -4}{3x-4}-1=0\\\\ \frac{ x^{2} -4-3x+4}{3x-4}=0\\\\ \frac{ x^{2} -3x}{3x-4} =0
x² - 3x = 0                                                3x - 4 ≠ 0
x(x - 3) = 0                                               3x ≠ 4
или  x₁ = 0    или  x - 3 = 0                      x ≠ 1 1/3
                             x₂ = 3
Ответ : 0 ; 3

fdgdfgdfg2р: как то не очень понял ))
fdgdfgdfg2р: как в 3 получилось то
Universalka: Привела к общему знаменателю
Аноним: Ответ., 0; 3
Аноним: У вас ошибка
Ответ дал: Аноним
0
Решение задания приложено
Приложения:
Вас заинтересует