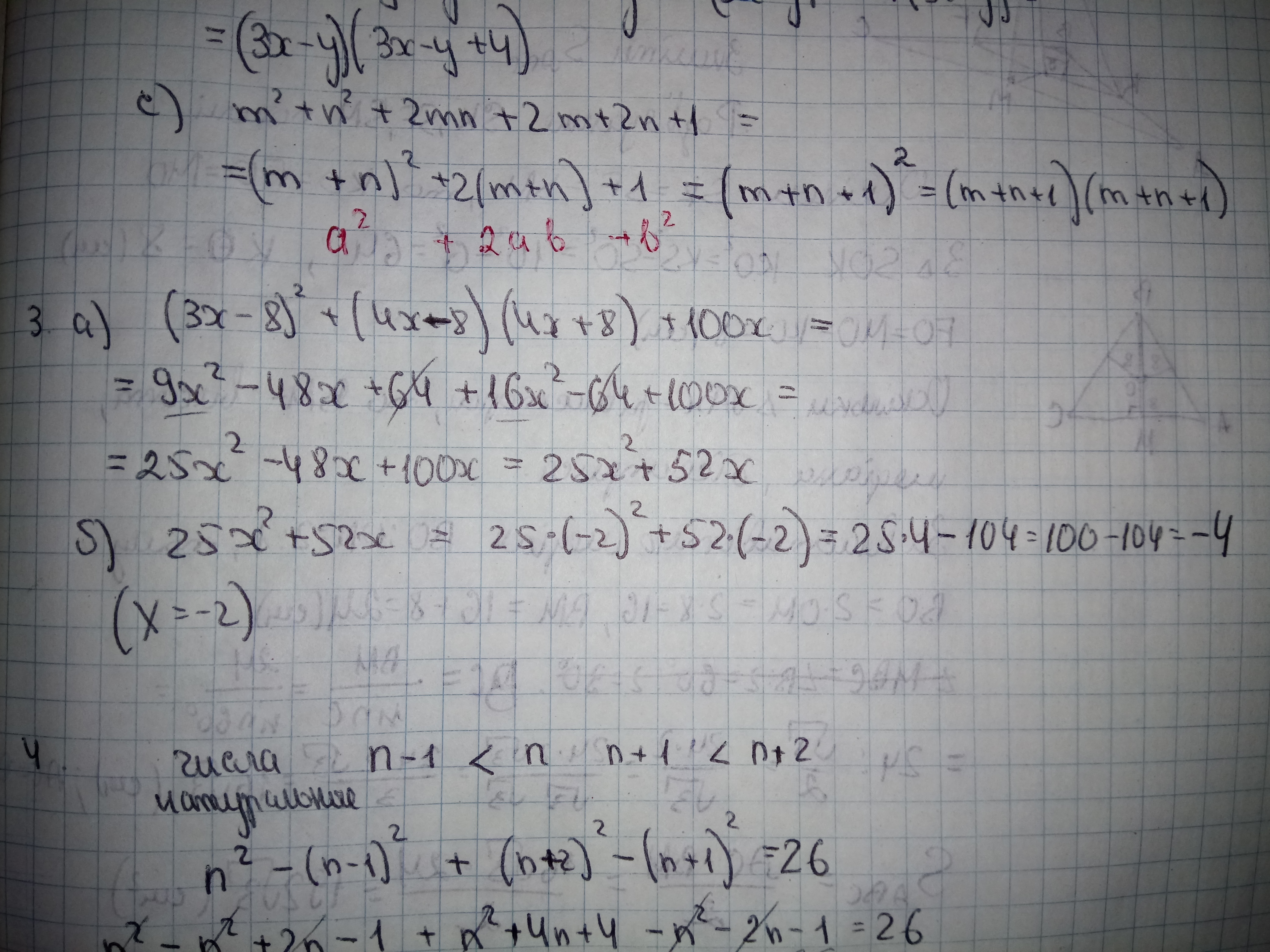
Покажите что значение выражения (3x-8)^2+(4x-8)(4x+8)+100x при x=-2 равно -4 решите пожалуйста вот там где ^ там 2
Ответы
Ответ дал:
37
(3x-8)^2+(4x-8)(4x+8)+100x= 9x^2-48x+64+16x^2-64+100x=25x^2+52x
Подставим -2
25*4-52*2=-4
Подставим -2
25*4-52*2=-4
ggggghjjj:
Првкльно точно
Ответ дал:
20
Решение задания приложено
Приложения:

Вас заинтересует
1 год назад
1 год назад
2 года назад
3 года назад
8 лет назад