• Предмет: Математика
  • Автор: Аноним
  • Вопрос задан 2 года назад

умоляю помогите пожалуйста

Приложения:

Ответы

Ответ дал: EugeneKulish
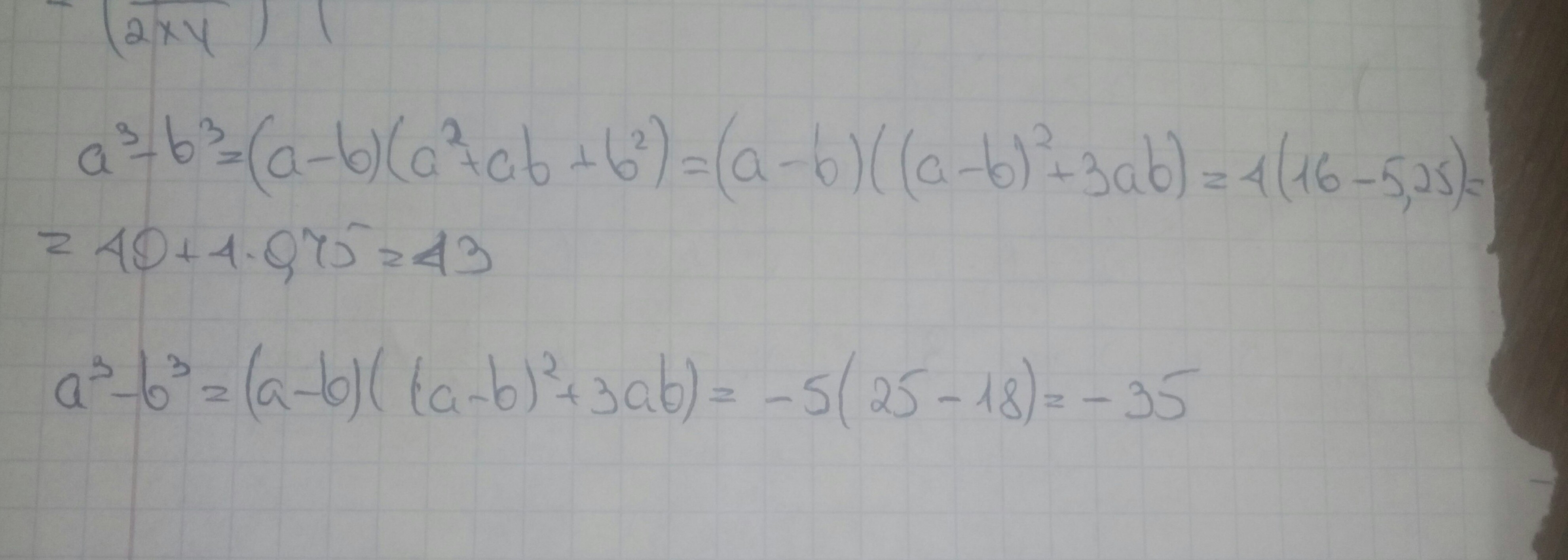
2
.....................
Приложения:
Вас заинтересует