• Предмет: Математика
  • Автор: nonestinventus
  • Вопрос задан 2 года назад

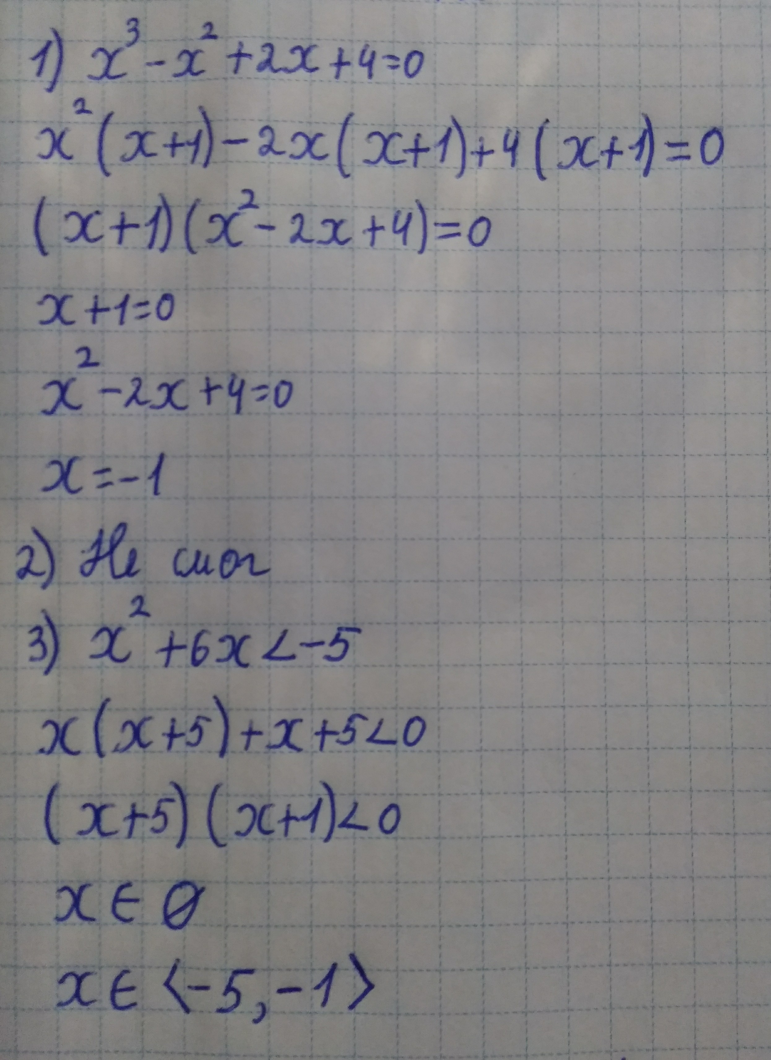
1) x^3-x^2+2x+4=0
2) 2x^3-x^2+x-2 больше или равно 0
3) x^2+6x<-5

Ответы

Ответ дал: BpexLoader
1
Решение на фото, не забудь поставить - лайк, а также поставить - коронку
Приложения:
Вас заинтересует