Ответы
Ответ дал:
1
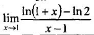
Неопределенность вида 0/0
Применим правило Лопиталя.
Производная числителя равнв
(ln (x+1)- ln 2)' = 1/(x+1) - при x =1 равна 1/2
Производная знаменателя равна (x-1)' = 1 .
Ответ : 1/2 : 1 = 0.5
Применим правило Лопиталя.
Производная числителя равнв
(ln (x+1)- ln 2)' = 1/(x+1) - при x =1 равна 1/2
Производная знаменателя равна (x-1)' = 1 .
Ответ : 1/2 : 1 = 0.5
Вас заинтересует
2 года назад
2 года назад
2 года назад
3 года назад
9 лет назад