Ответы
Ответ дал:
0
1.
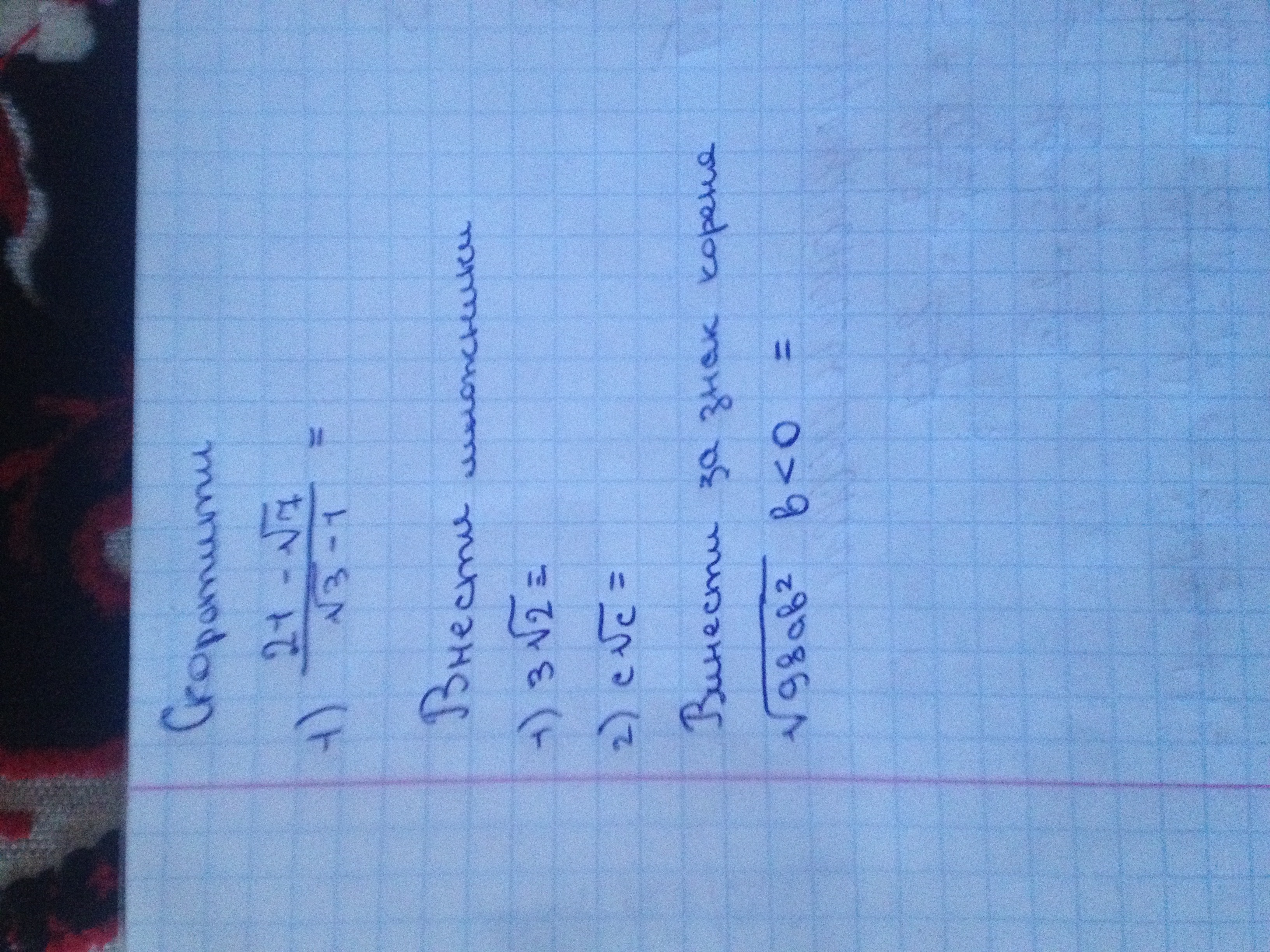
21- √7/√3 -1 (так как значения в знаменателе отрицательны, мы должны от них избавится для этого, домножим дробь на знаменатель, получим:) =
(21- √7) *(√3 + 1) / 2 = 21*√3 + 21 - √21 - √7/ 2 - Ответ. (если что, то наш ответ равен примерно: 25,07)
2.
1) 3*√2 = √18
2) с*√с = √с^2 - это, если шо, с в 3-ей степени, ясна, да?
3. √98ab^2=7b√2a - (7b умножаем на корень из 2а)
P.S. Одмены, не цепляйтесь за копирование, единственное, что я сюда скопировал и вставил - это значек корня, ясно, да?
21- √7/√3 -1 (так как значения в знаменателе отрицательны, мы должны от них избавится для этого, домножим дробь на знаменатель, получим:) =
(21- √7) *(√3 + 1) / 2 = 21*√3 + 21 - √21 - √7/ 2 - Ответ. (если что, то наш ответ равен примерно: 25,07)
2.
1) 3*√2 = √18
2) с*√с = √с^2 - это, если шо, с в 3-ей степени, ясна, да?
3. √98ab^2=7b√2a - (7b умножаем на корень из 2а)
P.S. Одмены, не цепляйтесь за копирование, единственное, что я сюда скопировал и вставил - это значек корня, ясно, да?
Limbo206:
тут много писать, в следующий раз ставь баллов по-больше, а то не помогу)))
Вас заинтересует
2 года назад
2 года назад
2 года назад
3 года назад
3 года назад
9 лет назад