• Предмет: Математика
  • Автор: 100pudov1
  • Вопрос задан 2 года назад

Пожалуйста помогите решить пределы а), б), в)

Приложения:

Ответы

Ответ дал: bearcab
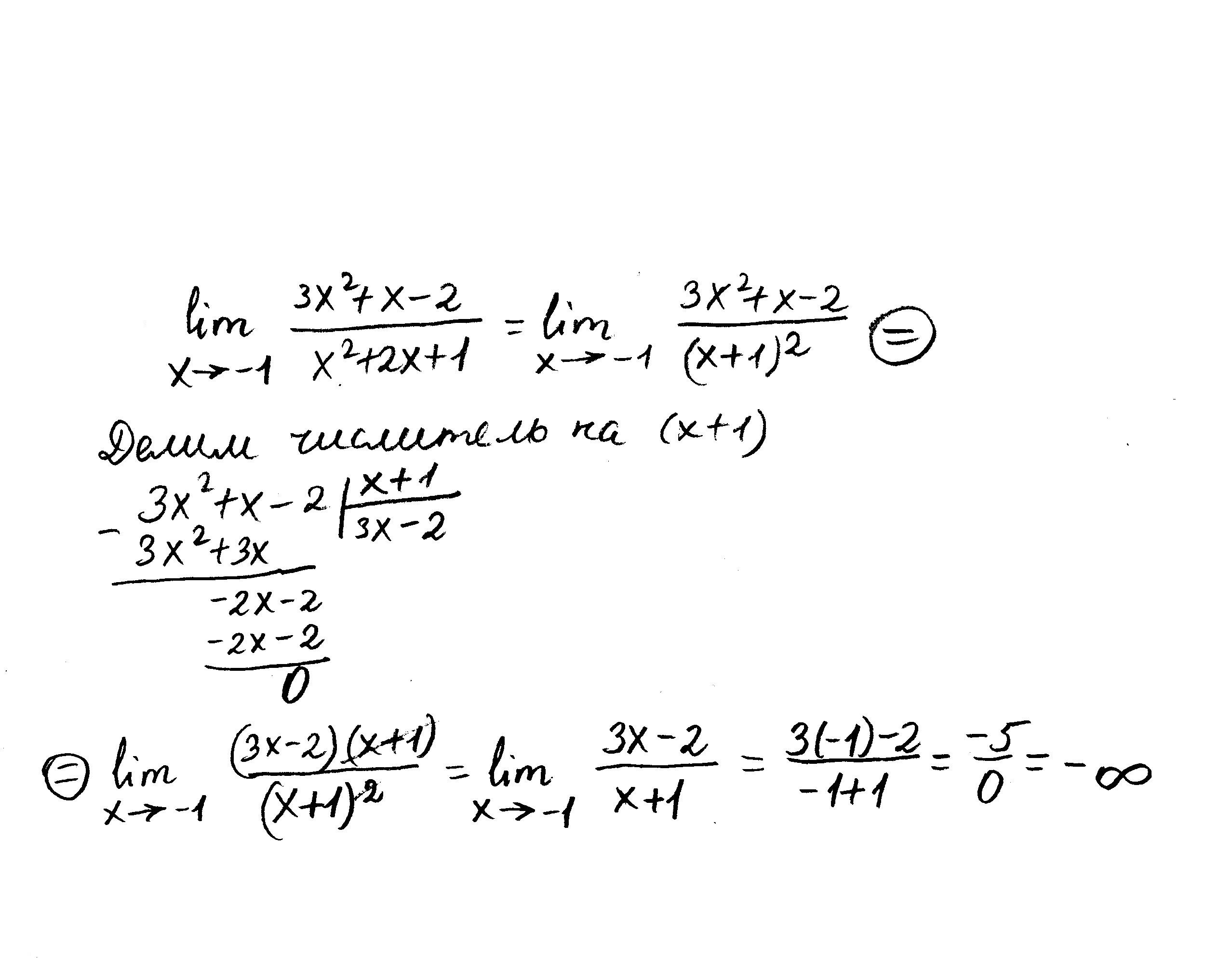
1
Решение в приложении
Приложения:
Вас заинтересует