• Предмет: Алгебра
  • Автор: lava34
  • Вопрос задан 2 года назад

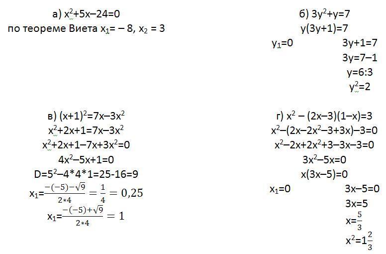
Решите уравнение:
a)x^2 +5x-24=0
б) 3y^2+y=7
в) (x+1)^2=7x-3x^2
г) x2-(2x-3)×(1-x)=3

Ответы

Ответ дал: vkalmikov
1
вот полное решение с дробями
Приложения:
Вас заинтересует