Ответы
Ответ дал:
0
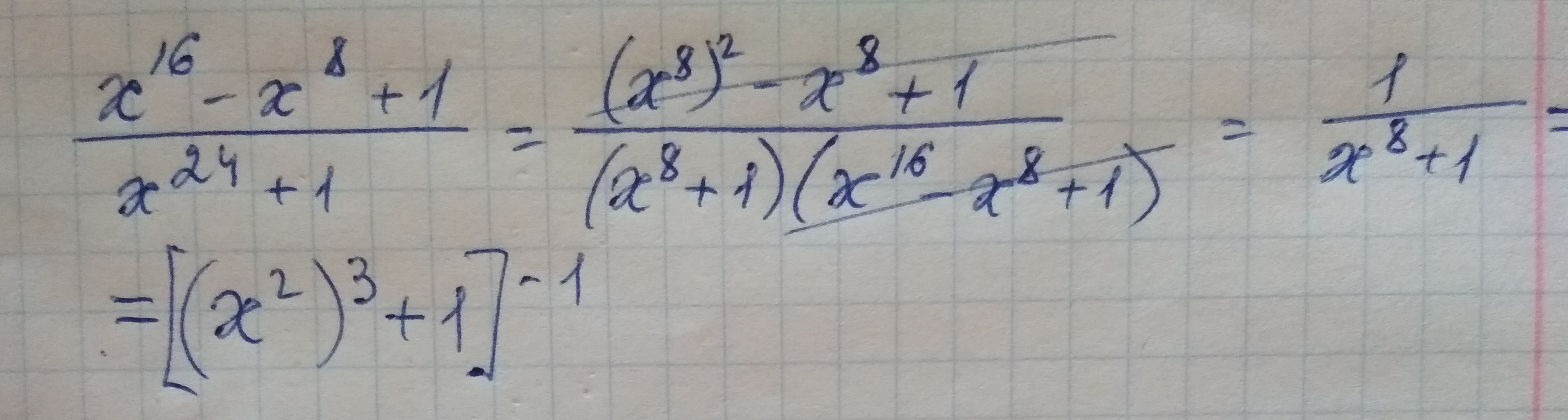
В знаменателе используем формулу кубов:

Сокращаем:
![\frac{1}{ x^{8}+1 }=[( x^{2} ) ^{4}+1] ^{-1} \frac{1}{ x^{8}+1 }=[( x^{2} ) ^{4}+1] ^{-1}](https://tex.z-dn.net/?f=+%5Cfrac%7B1%7D%7B+x%5E%7B8%7D%2B1+%7D%3D%5B%28+x%5E%7B2%7D+%29+%5E%7B4%7D%2B1%5D+%5E%7B-1%7D++)
Сокращаем:
Аноним:
Как с вами связаться?
Ответ дал:
0
Первый вариант ответа
Приложения:

Вас заинтересует
1 год назад
2 года назад
2 года назад
8 лет назад