• Предмет: Математика
  • Автор: maiolga30
  • Вопрос задан 2 года назад

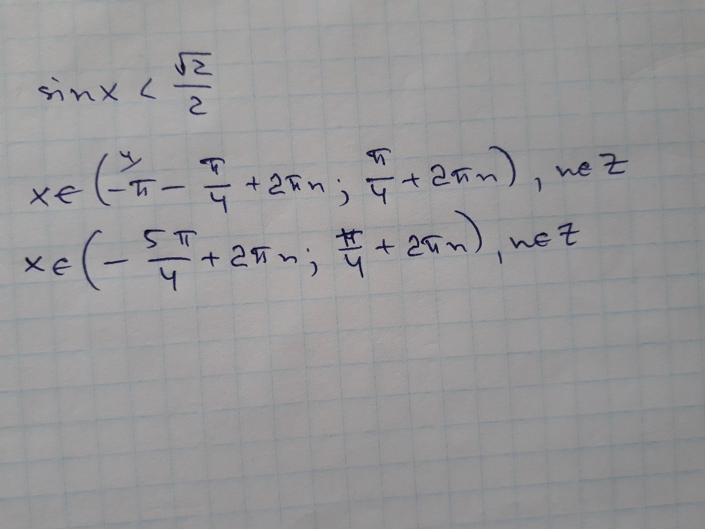
помогите решить пожалуйста срочно надо

Приложения:

Ответы

Ответ дал: maashok
0
Если нужно, могу сделать и с единичной окружностью, это решение по формуле
Приложения:
Вас заинтересует