помогите решить, пожалуйста : Упростите выражение:
a x(x - 1)(x + 1) – (x – 2)(x² + 2x + 4).
EHOT2281337:
"а" это что?
Ответы
Ответ дал:
0
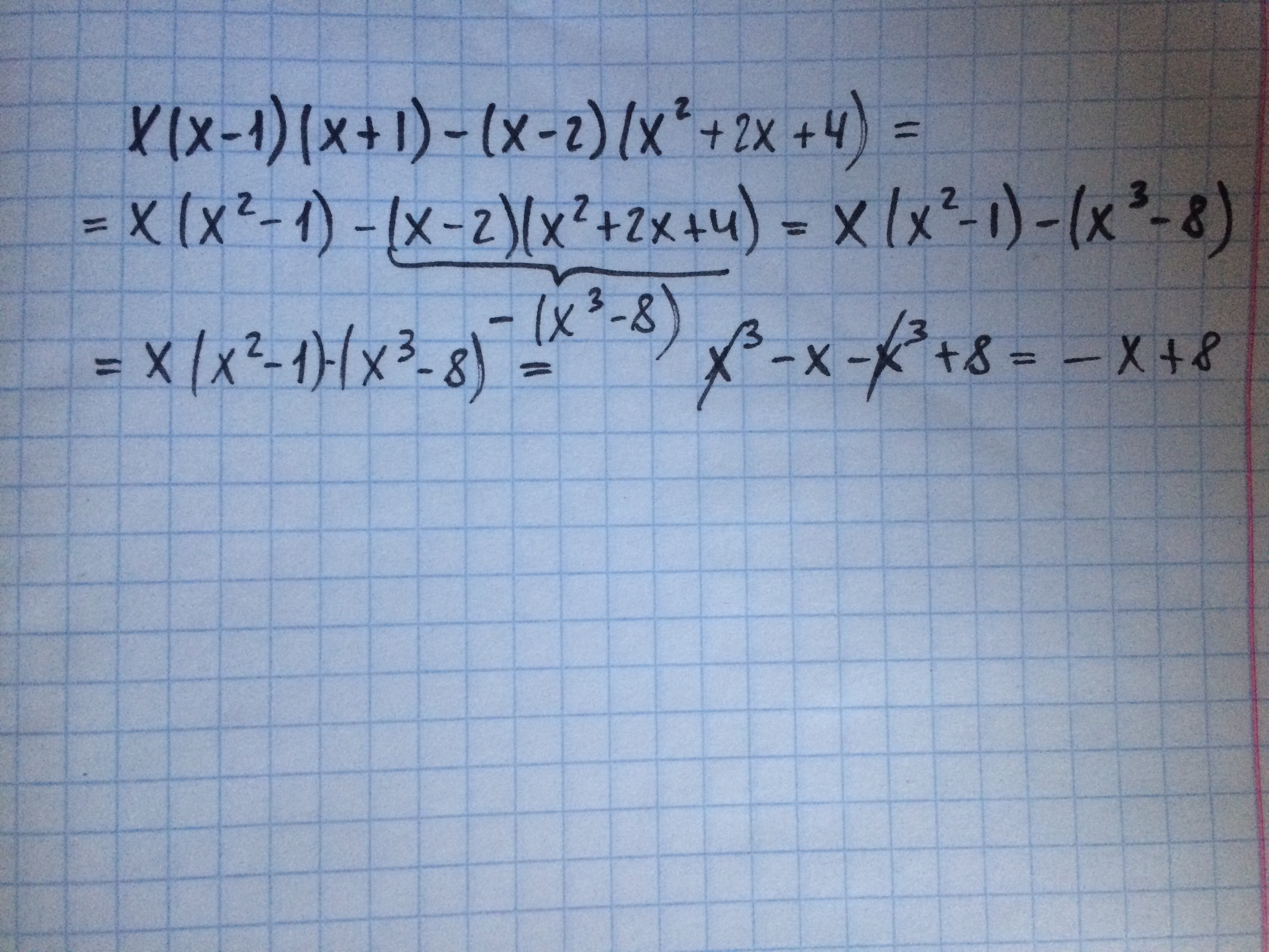
Решение во вложении, удачи в учебе, мой друг! ❣️
Приложения:

Ответ дал:
0
x(x - 1)(x + 1) – (x – 2)(x² + 2x + 4)
х(х²-1)-(х³-8)
х³-х-х³+8
-х+8
Ответ: -х+8.
х(х²-1)-(х³-8)
х³-х-х³+8
-х+8
Ответ: -х+8.
Вас заинтересует
1 год назад
1 год назад
2 года назад
2 года назад
3 года назад
8 лет назад