• Предмет: Алгебра
  • Автор: albina0052001
  • Вопрос задан 2 года назад

ДАМ МНОГО БАЛЛОВ
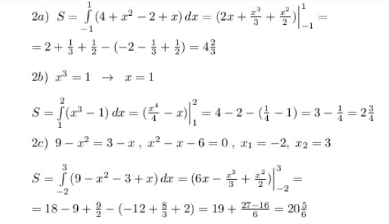
Второе задание под а
ньютон-лейб.

Приложения:

Ответы

Ответ дал: NNNLLL54
1
...............................................................................................................................
Приложения:
Вас заинтересует