• Предмет: Алгебра
  • Автор: legendarie20
  • Вопрос задан 2 года назад

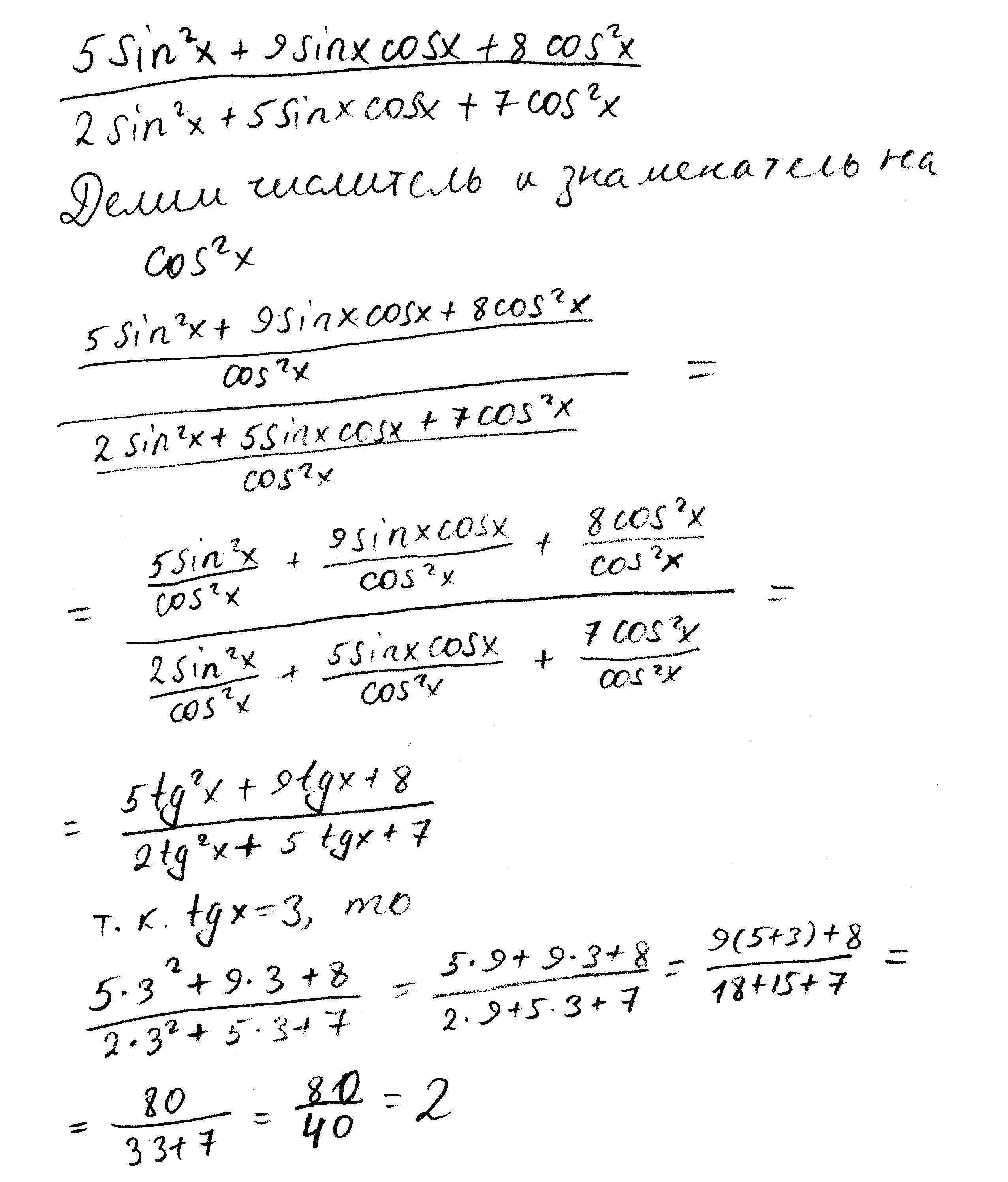
5sin^2x+9sinx×cosx+8cos^2x всё это делить на 2sin^2x+5sinx×cosx+7cos^2x , если tgx=3

Ответы

Ответ дал: bearcab
0
Решение в приложении
Приложения:
Вас заинтересует