Ответы
Ответ дал:
0
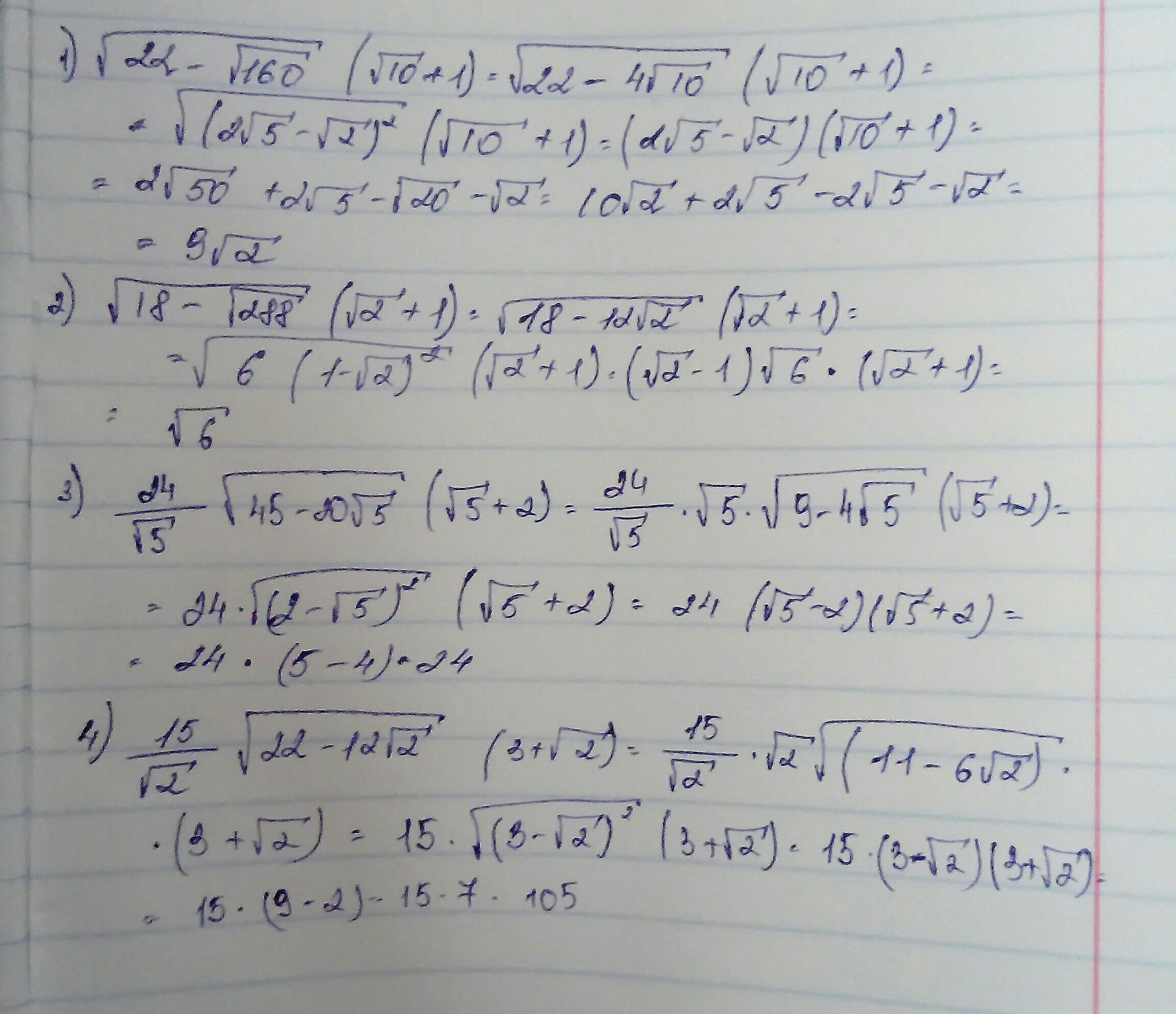
Ответ на фото ниже, хорошей учёбы :)
Приложения:

30messi2002:
Спасибо огромное
Вас заинтересует
1 год назад
1 год назад
2 года назад
2 года назад
3 года назад
8 лет назад