Помогите пожалуйста решить ,очень надо ,фото приложила . Нужно под А,Б и Г
Приложения:
AhhaYakovkeva:
Задание 2
Ответы
Ответ дал:
0
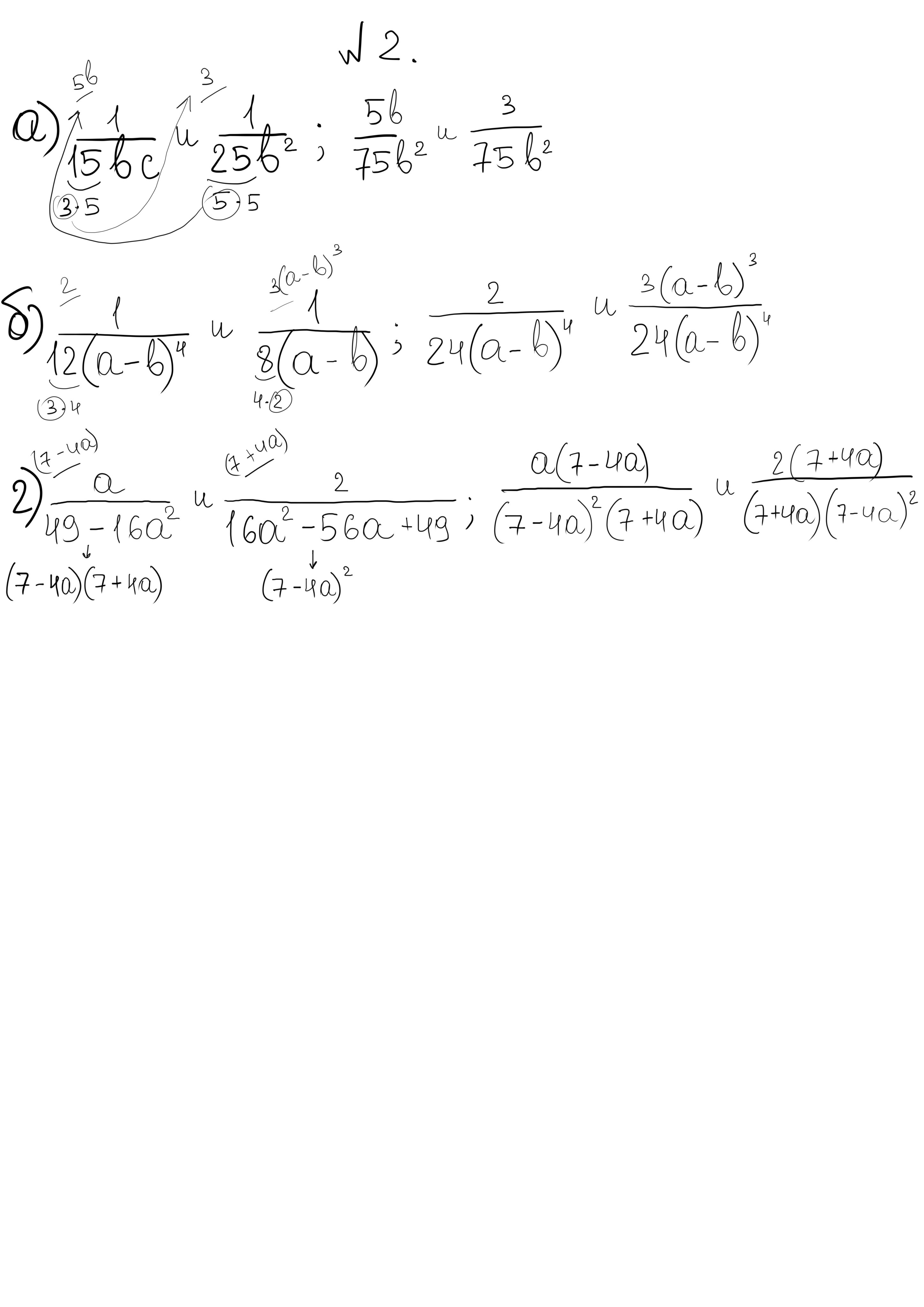
а) первую дробь домножаем на 5b, а вторую на 3с
б) первая дроб на 4, а вторая на 6(а-b)^3
г) првая дробь на (7-4а), а вторая на (7+4а)
б) первая дроб на 4, а вторая на 6(а-b)^3
г) првая дробь на (7-4а), а вторая на (7+4а)
Ответ дал:
0
вроде все правильно, но лучше проверить
Приложения:
Вас заинтересует
2 года назад
2 года назад
2 года назад
3 года назад
3 года назад
9 лет назад