Упростите ввыражение: дам 15 балов
(х - 1)2 -(х+3)(х-3)
2- степень
abizmur20043106:
И ещё найдите его значение при х=-1
Ответы
Ответ дал:
0
раааааскрываеем скобки по формулaм
x^2-2x+1-x^2+9= 10-2x
тогда потом будет
10-(2×(-1))=10+2=12
все)
x^2-2x+1-x^2+9= 10-2x
тогда потом будет
10-(2×(-1))=10+2=12
все)
Ответ дал:
0
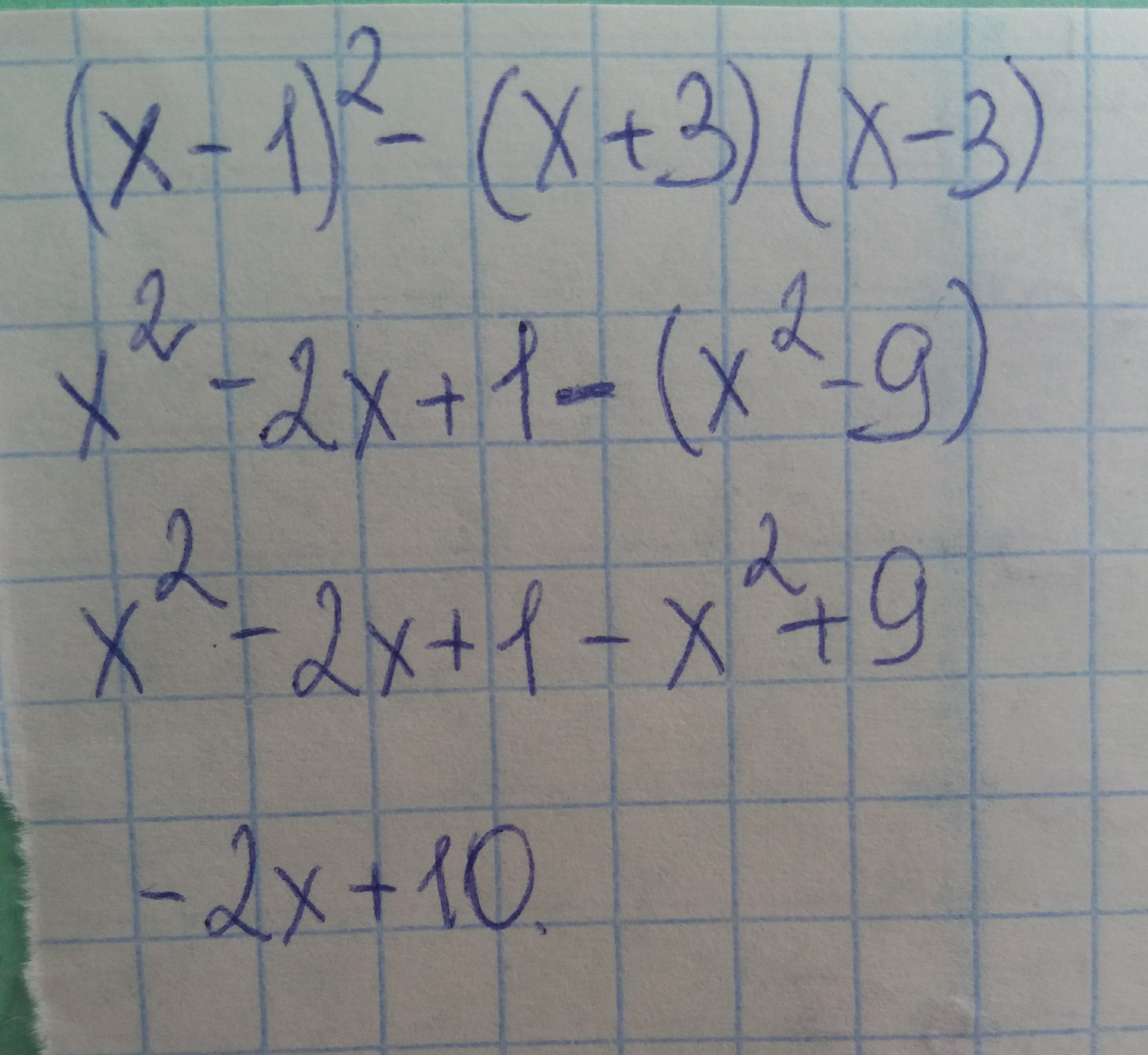
вот смотри на рисунке я написала все там
Приложения:

Вас заинтересует
1 год назад
3 года назад
3 года назад
8 лет назад
8 лет назад