• Предмет: Математика
  • Автор: Anastasi23AR
  • Вопрос задан 2 года назад

Вариант 7. 52 балла

Приложения:

Ответы

Ответ дал: SergFlint
1
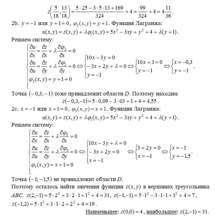
Решение в двух приложениях.
Приложения:
Вас заинтересует