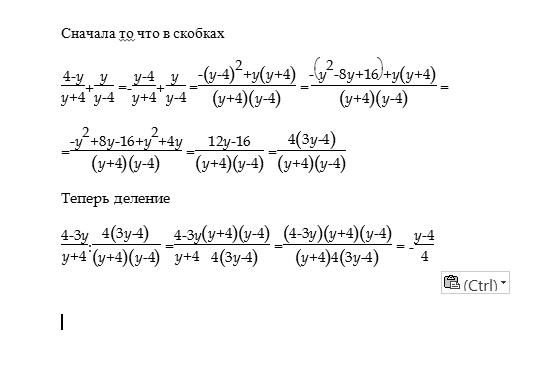
пожалуйста,помогите решить пример.уже 3 раза перерешивала. 4-3у/у+4 : ( 4-у/у+4 + у/у-4.
знак / дробь
Ответы
Ответ дал:
0
=======================================================
Приложения:

Ответ дал:
0
Приложения:

Вас заинтересует
2 года назад
8 лет назад
8 лет назад
10 лет назад
10 лет назад
10 лет назад
10 лет назад