Ответы
Ответ дал:
1
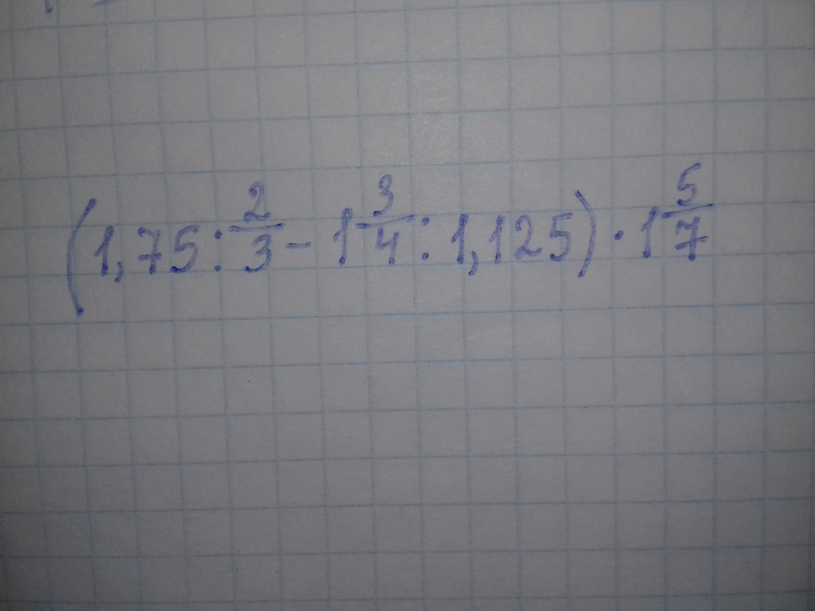
(1,75:2/3-1 3/4:1,125)·1 5/7=1 5/6
1).1,75:2/3=1 75/100:2/3=175/100·3/2=7/4·3/2=21/8=2 5/8
2).1 3/4:1,125=7/4:1125/1000=7/4·1000/1125=7/4·8/9=7·2/9=14/9=1 5/9
3).2 5/8-1 5/9=21/8-14/9=189/72-112/72=77/72=1 5/72
4).1 5/72·1 5/7=77/72·12/7=11/6=1 5/6
1).1,75:2/3=1 75/100:2/3=175/100·3/2=7/4·3/2=21/8=2 5/8
2).1 3/4:1,125=7/4:1125/1000=7/4·1000/1125=7/4·8/9=7·2/9=14/9=1 5/9
3).2 5/8-1 5/9=21/8-14/9=189/72-112/72=77/72=1 5/72
4).1 5/72·1 5/7=77/72·12/7=11/6=1 5/6
Вас заинтересует
2 года назад
2 года назад
2 года назад
3 года назад
3 года назад
9 лет назад