Ответы
Ответ дал:
1
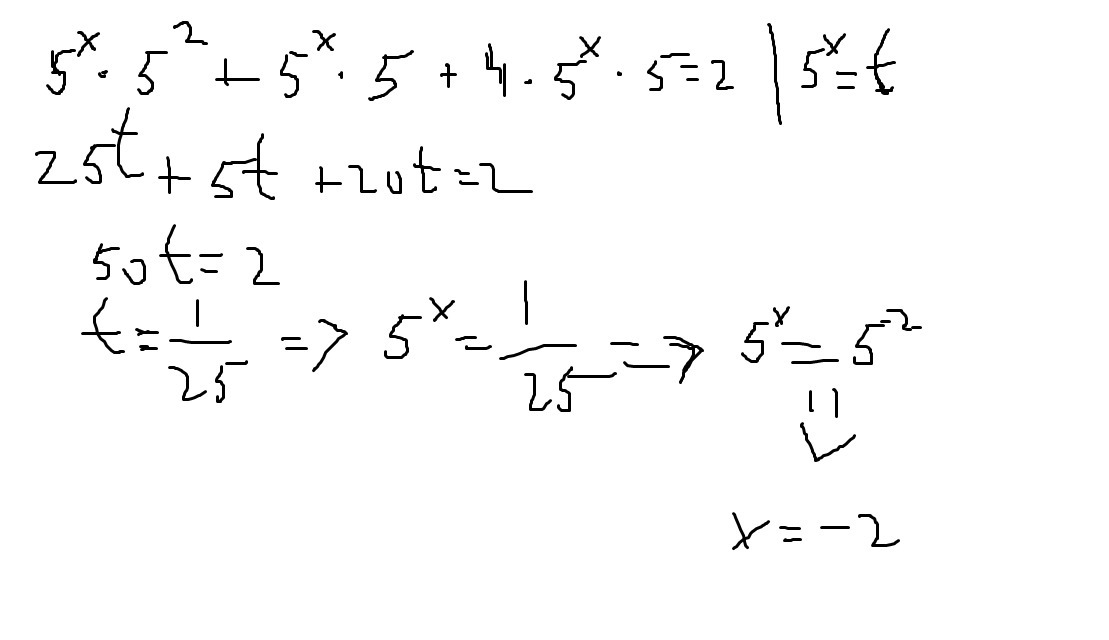
При умножении одинаковых чисел степени складываются. Решение в приложении.
Приложения:

olejniknadezhd:
я смотрю сейчас один урок, и он там по-другому решает ,после этого уравнения написано следующее ( 5^х+2 + 5 * 5^х+1 = 2) - куда пропала 4 , что с ней стало?
Вас заинтересует
1 год назад
1 год назад
2 года назад
2 года назад
3 года назад