Ответы
Ответ дал:
1
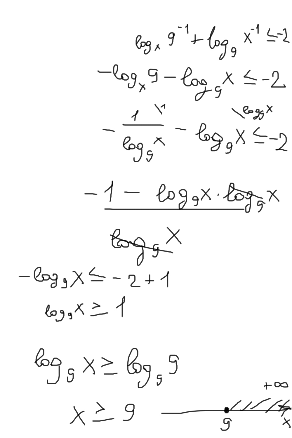
Наименьшее целое решение = 9.
Приложения:

Вас заинтересует
1 год назад
2 года назад
2 года назад
3 года назад
3 года назад
8 лет назад