• Предмет: Алгебра
  • Автор: ник1276
  • Вопрос задан 2 года назад

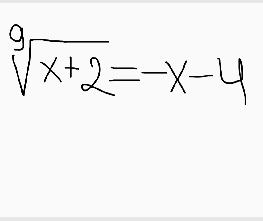
решение данного уравнения

Приложения:

Ответы

Ответ дал: varcha
0
Решение график , область определения х принадлежит R
Приложения:
Вас заинтересует