• Предмет: Алгебра
  • Автор: danilka003mecha
  • Вопрос задан 2 года назад

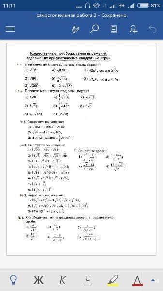
Нужно решить, пожалуйста. На кину баллов потом еще ето решит

Приложения:

Ответы

Ответ дал: adeleadele24
0
Пока держи эти)))))))
Приложения:

danilka003mecha: Только 4
Вас заинтересует