• Предмет: Алгебра
  • Автор: elenabashkatov
  • Вопрос задан 2 года назад

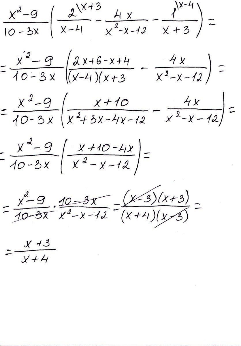
Алгебра 8 класс. Упростить выражение:
x^2-9/10-3x*(2/x-4 - 4x/x^2-X-12 -1/x+3)

Ответы

Ответ дал: Mondarinka
1
Вложение! Я это уже решала!
Приложения:
Вас заинтересует