• Предмет: Алгебра
  • Автор: redcorp10
  • Вопрос задан 2 года назад

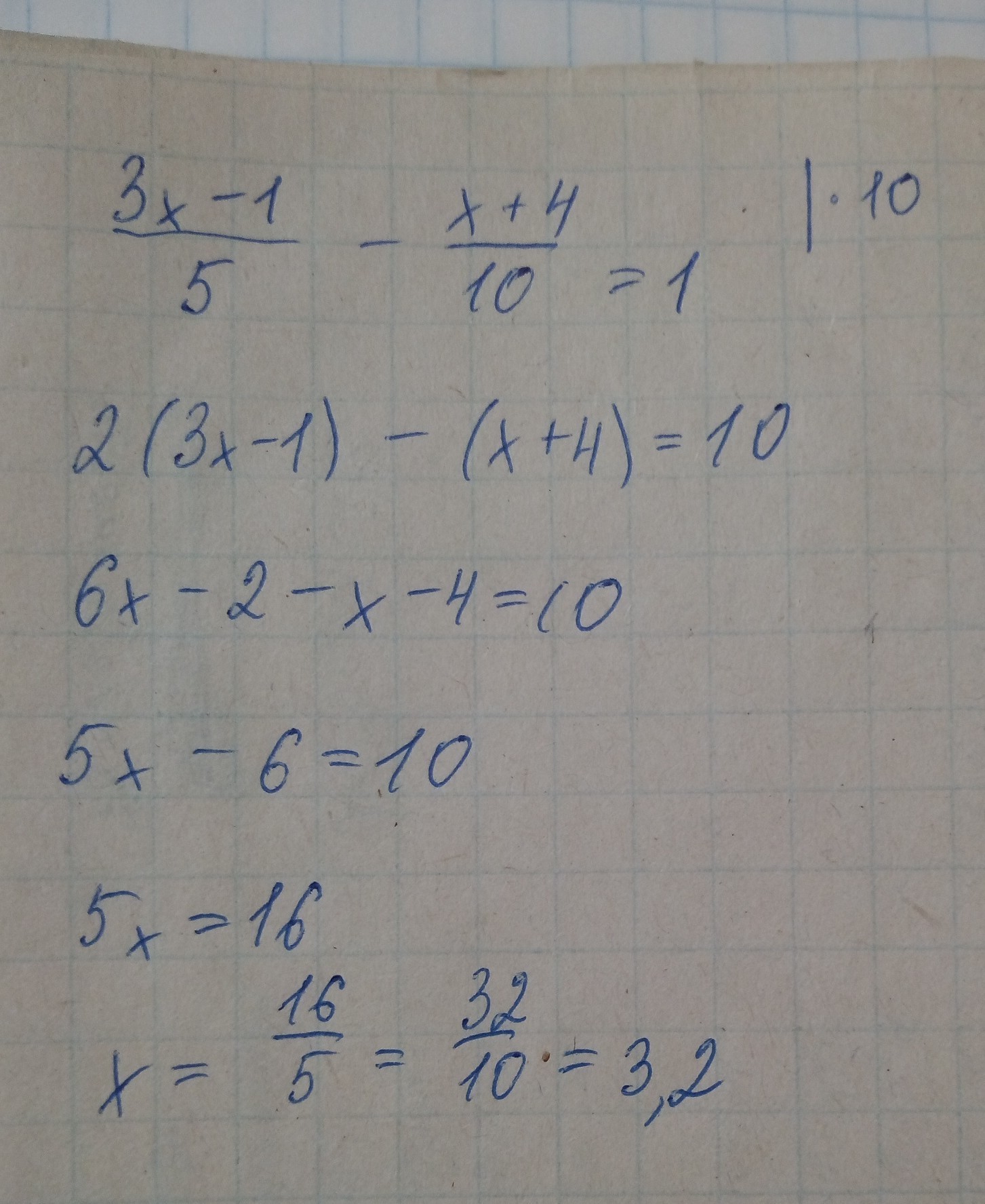
Уравнение:
3x-1. x+4
------ - ----- = 1
5. 10

Решите умоляю

Ответы

Ответ дал: Azzaires
2
Вот, держи решение. Надеюсь, помогла :)
Приложения:

redcorp10: Благодарю!
Вас заинтересует