Ответы
Ответ дал:
0
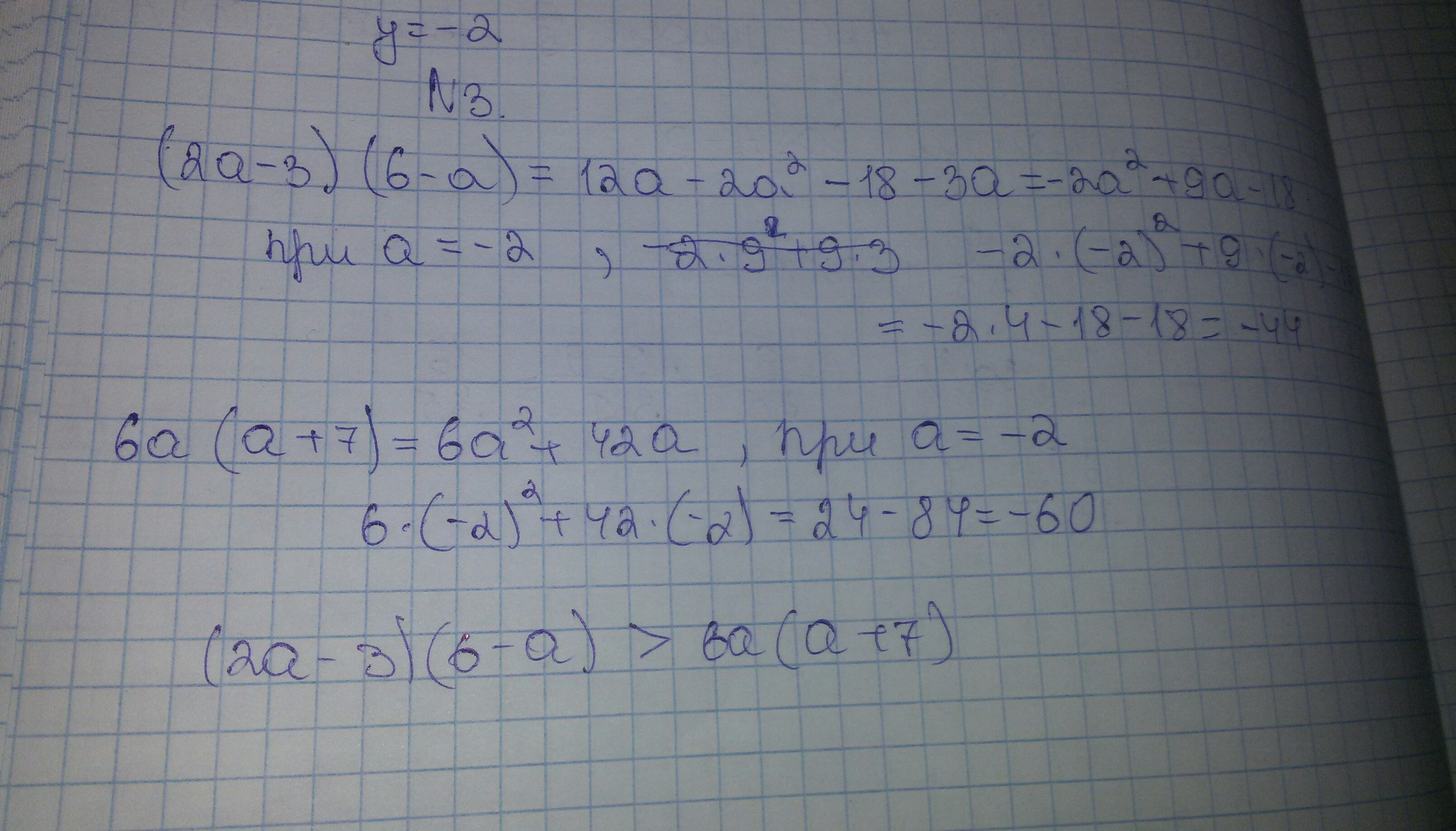
(2а-3)(6-а)=12а-2а²-18+3а=15а-2а²-18
если а=-2,то 15*(-2)-2(-2)²-18=-30-2*4-18=-30-8-18=-56
6а(а+7)=6а²+42а
если а=-2,то 6*(-2)²+42*(-2)=6*4-84=24-84=-60
-56<-60
если а=-2,то 15*(-2)-2(-2)²-18=-30-2*4-18=-30-8-18=-56
6а(а+7)=6а²+42а
если а=-2,то 6*(-2)²+42*(-2)=6*4-84=24-84=-60
-56<-60
Ответ дал:
0
первое больше второго
Приложения:

Вас заинтересует
2 года назад
3 года назад
9 лет назад
9 лет назад
10 лет назад
10 лет назад