Ответы
Ответ дал:
0
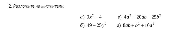
а) (3x-2)*(3x+2)
б) (7-5y)*(7+5y)
в) (2a-5b)^2
г) (b+4a)^2
б) (7-5y)*(7+5y)
в) (2a-5b)^2
г) (b+4a)^2
Ответ дал:
0
a)9x^2-4
x^2=4/9
x=2/3
б)49-25y^2
-y^2=-49/25
y=7/5
в)4a^2-20ab+25b^2
(2a-5b)^2
г)8ab+b^2+16a^2
(4a+b)^2
x^2=4/9
x=2/3
б)49-25y^2
-y^2=-49/25
y=7/5
в)4a^2-20ab+25b^2
(2a-5b)^2
г)8ab+b^2+16a^2
(4a+b)^2
Вас заинтересует
3 года назад
3 года назад
9 лет назад