Ответы
Ответ дал:
0
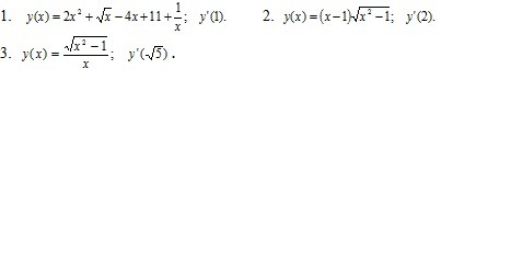
1. y' = 4x+1/2√x -4-1/x^2
y'(1)=4+1/2-4-1=1/2-1=-1/2
2. y' = (x^2-1)^(1/2)+(x-1)*x / (x^2-1)^(1/2)
y'(2)=3^(1/2)+2 / 3^(1/2) = 5 / 3^(1/2)
3. y' = (x /((x^2-1)^(1/2))- x * (x^-1)^(1/2))/x^2
y'(5^(1/2))=(5^(1/2) / 2) - 5^(1/2) * 2) / 5 = -3 * 5^(1/2) / 10
y'(1)=4+1/2-4-1=1/2-1=-1/2
2. y' = (x^2-1)^(1/2)+(x-1)*x / (x^2-1)^(1/2)
y'(2)=3^(1/2)+2 / 3^(1/2) = 5 / 3^(1/2)
3. y' = (x /((x^2-1)^(1/2))- x * (x^-1)^(1/2))/x^2
y'(5^(1/2))=(5^(1/2) / 2) - 5^(1/2) * 2) / 5 = -3 * 5^(1/2) / 10
Вас заинтересует
2 года назад
3 года назад
3 года назад
9 лет назад