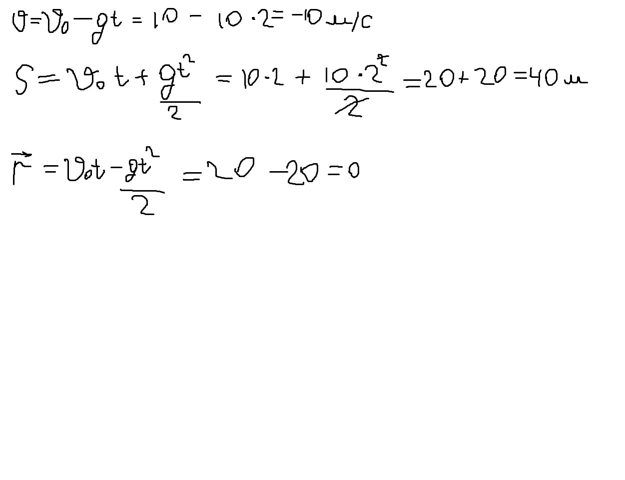
тело брошено вертикально вверх с начальной скоростью 10м/с. Найти скорость, путь и перемещение через 2 с после начала движения.
Ответы
Ответ дал:
0
Ответ:
Скорость = - 10м/с
Путь = 40 м
Перемещение = 0
Скорость = - 10м/с
Путь = 40 м
Перемещение = 0
Приложения:

Вас заинтересует
2 года назад
2 года назад
3 года назад
9 лет назад
9 лет назад