• Предмет: Математика
  • Автор: nikitos22813371
  • Вопрос задан 9 лет назад

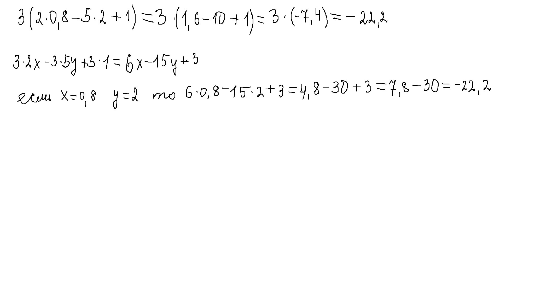
427(1) только первое

Приложения:

Ответы

Ответ дал: parus77
0
ответы получатся одинаковыми
Приложения:
Вас заинтересует