• Предмет: Алгебра
  • Автор: Prodanl563
  • Вопрос задан 8 лет назад

Помогите!!
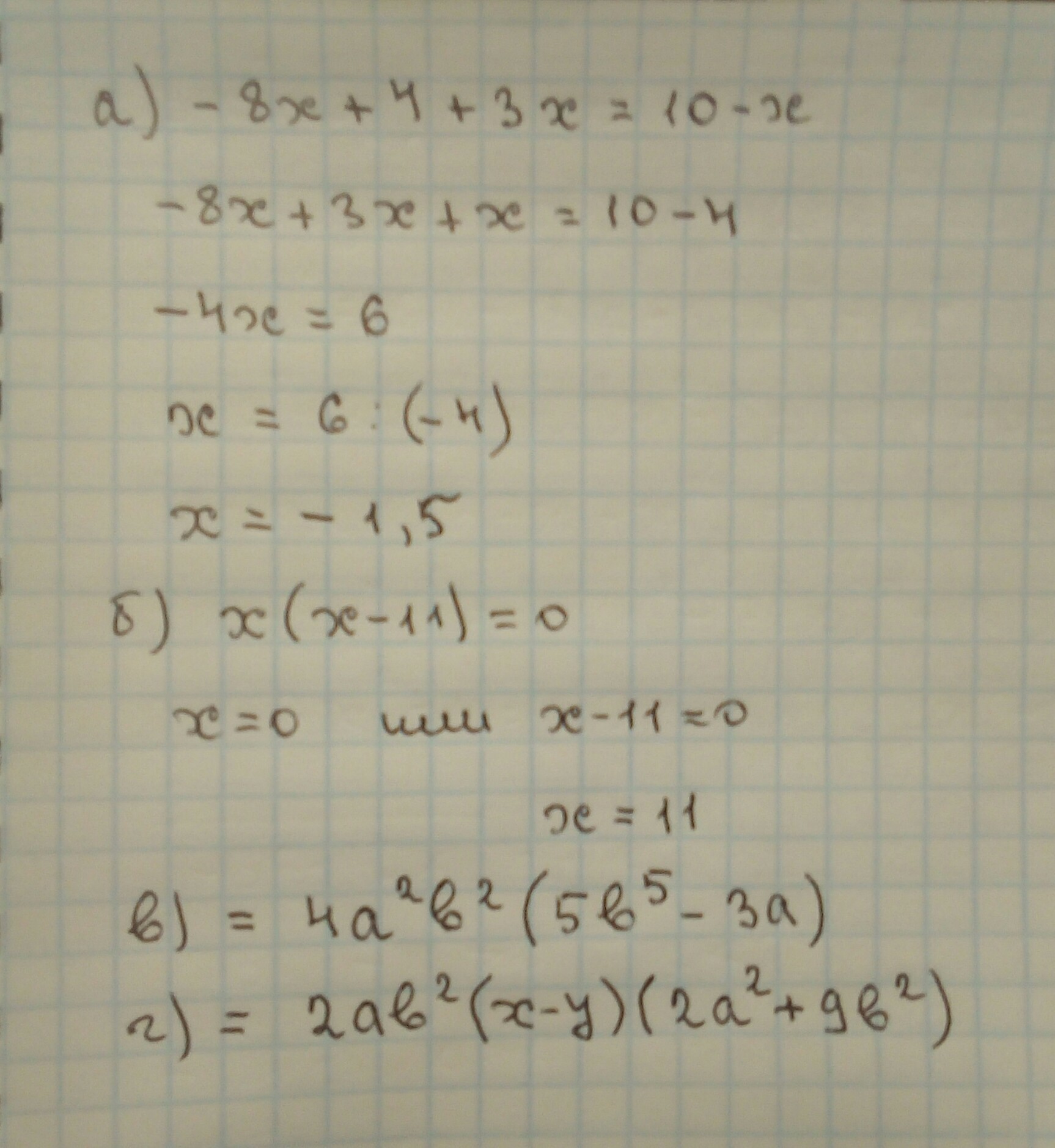
а) -8x+(4+3x) =10-x
б) x^2-11x=0
в) 20a^2b^7-12a^3b^2
г) 4a^3b^2(x-y) -18ab^4(y-x)

Ответы

Ответ дал: ЯгодкаЯлесная
0
фоточка тебе в помощь ;)
Приложения:
Вас заинтересует