Ответы
Ответ дал:
0
посмотри решение внизу.
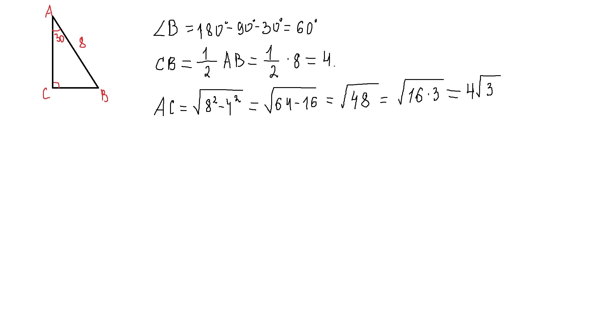
В прямоугольном треугольнике против угла в 30° лежит катет,равный половине гипотенузы
В прямоугольном треугольнике против угла в 30° лежит катет,равный половине гипотенузы
Приложения:

Вас заинтересует
2 года назад
3 года назад
9 лет назад
9 лет назад
10 лет назад
10 лет назад