Ответы
Ответ дал:
28
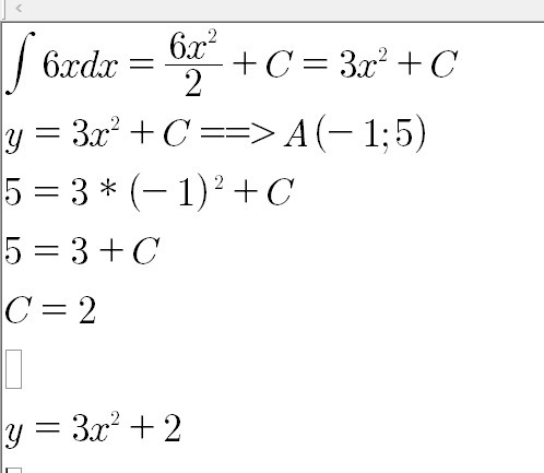
см скриншот
============================
============================
Приложения:

Вас заинтересует
1 год назад
1 год назад
2 года назад
2 года назад
3 года назад
3 года назад
8 лет назад