• Предмет: Математика
  • Автор: 1hochuvsharagy1
  • Вопрос задан 9 лет назад

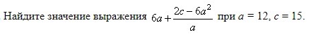
Найдите значение выражения.

Приложения:

Ответы

Ответ дал: Evgenia4836
0
(6a²+2c-6a²)/a = 2c/a
2*15/12=30/12=5/2=2,5
Вас заинтересует