• Предмет: Математика
  • Автор: МозгиДемона
  • Вопрос задан 9 лет назад

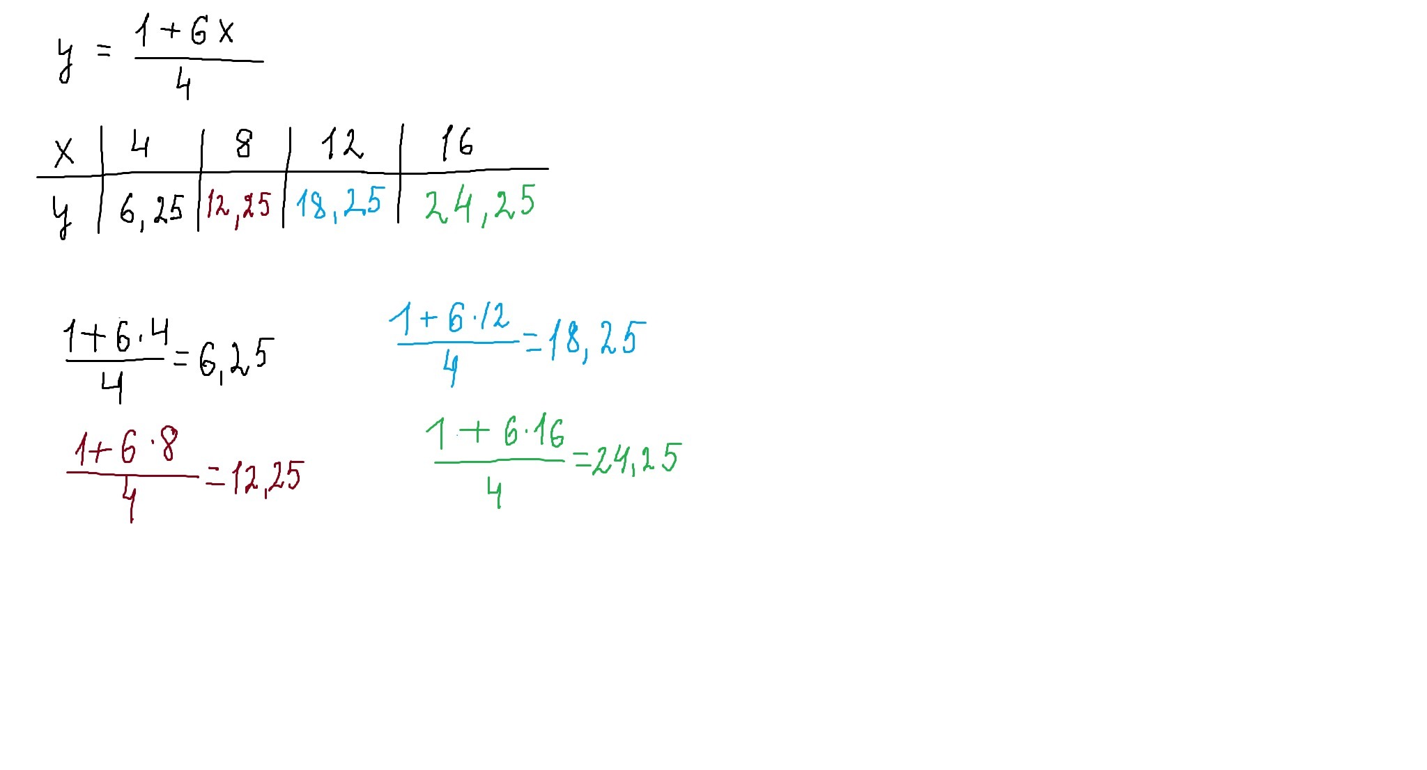
Для заданный функций составе тыблицу:
y =  frac{1 + 6x}{4}
Где
4 leqslant x leqslant 16
С шагом, равным 4
6 класс

Ответы

Ответ дал: parus77
0
таблицу смотри внизу
Приложения:
Вас заинтересует