Ответы
Ответ дал:
0
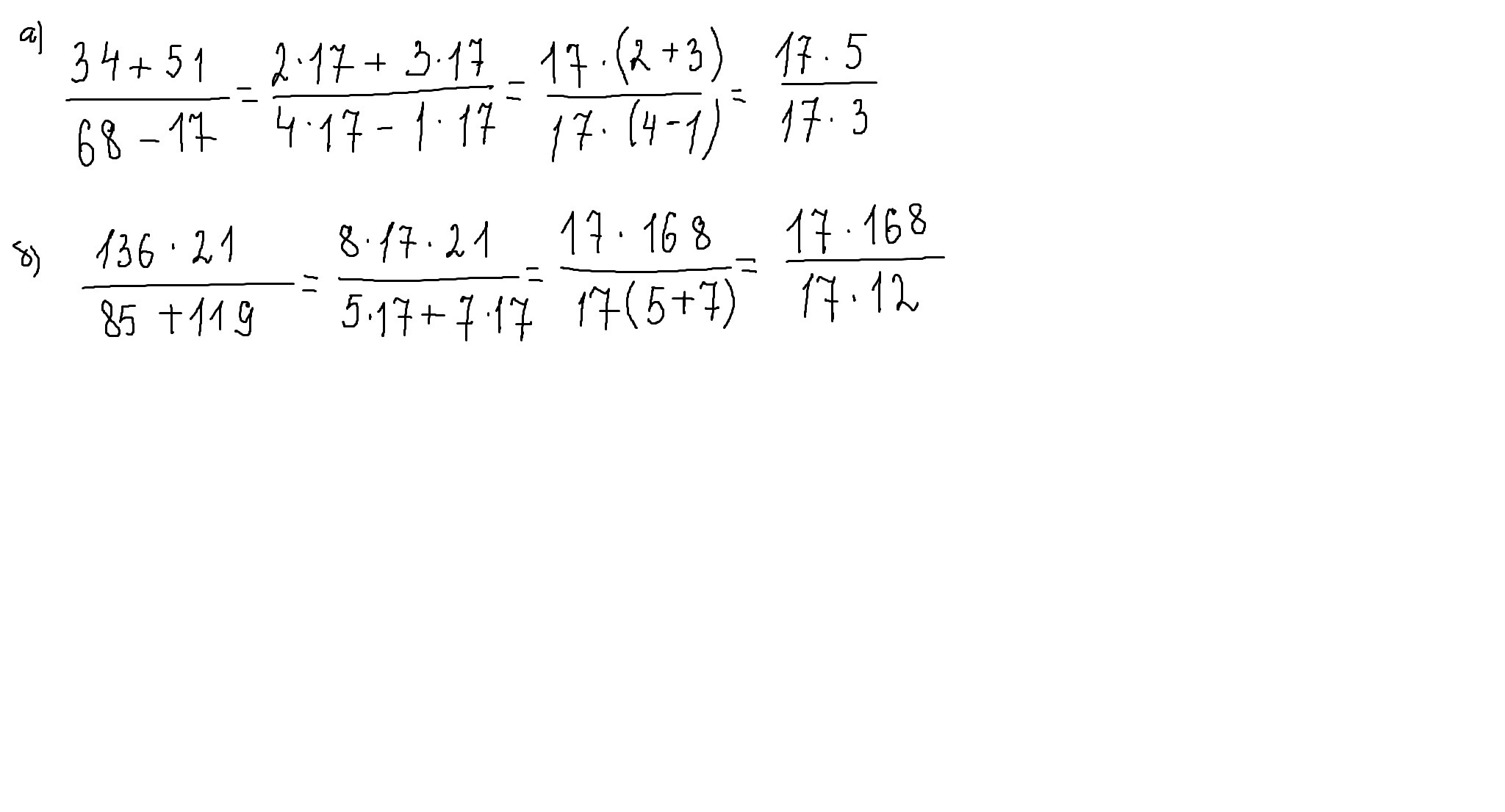
по дробям видно ,что и числитель и знаменатель можно разделить на 17
Приложения:

Вас заинтересует
2 года назад
3 года назад
9 лет назад