• Предмет: Алгебра
  • Автор: rustam7411201
  • Вопрос задан 9 лет назад

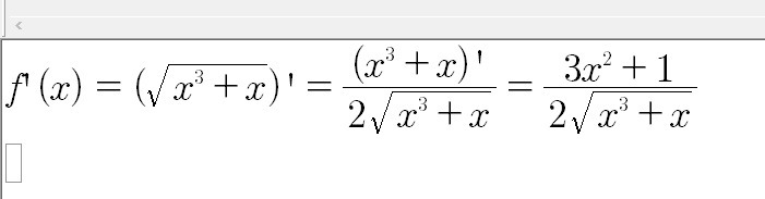
Вычислите производные функций
f(x)=x^3+x под корнем
Можете пожалуйста объяснить

Ответы

Ответ дал: ShirokovP
0
см скриншот
========================
Приложения:
Вас заинтересует