ПОМОГИТЕ ПЖ, ОЧЕНЬ НАДО, ЗАДАНИЕ НОМЕР 8 БУКВА Б. ЗАДАНИЕ ИЗ ДАННЫХ ВЫРАЖЕНИЙ И Т.Д. ВСЁ НА ФОТО
Приложения:

Ответы
Ответ дал:
0
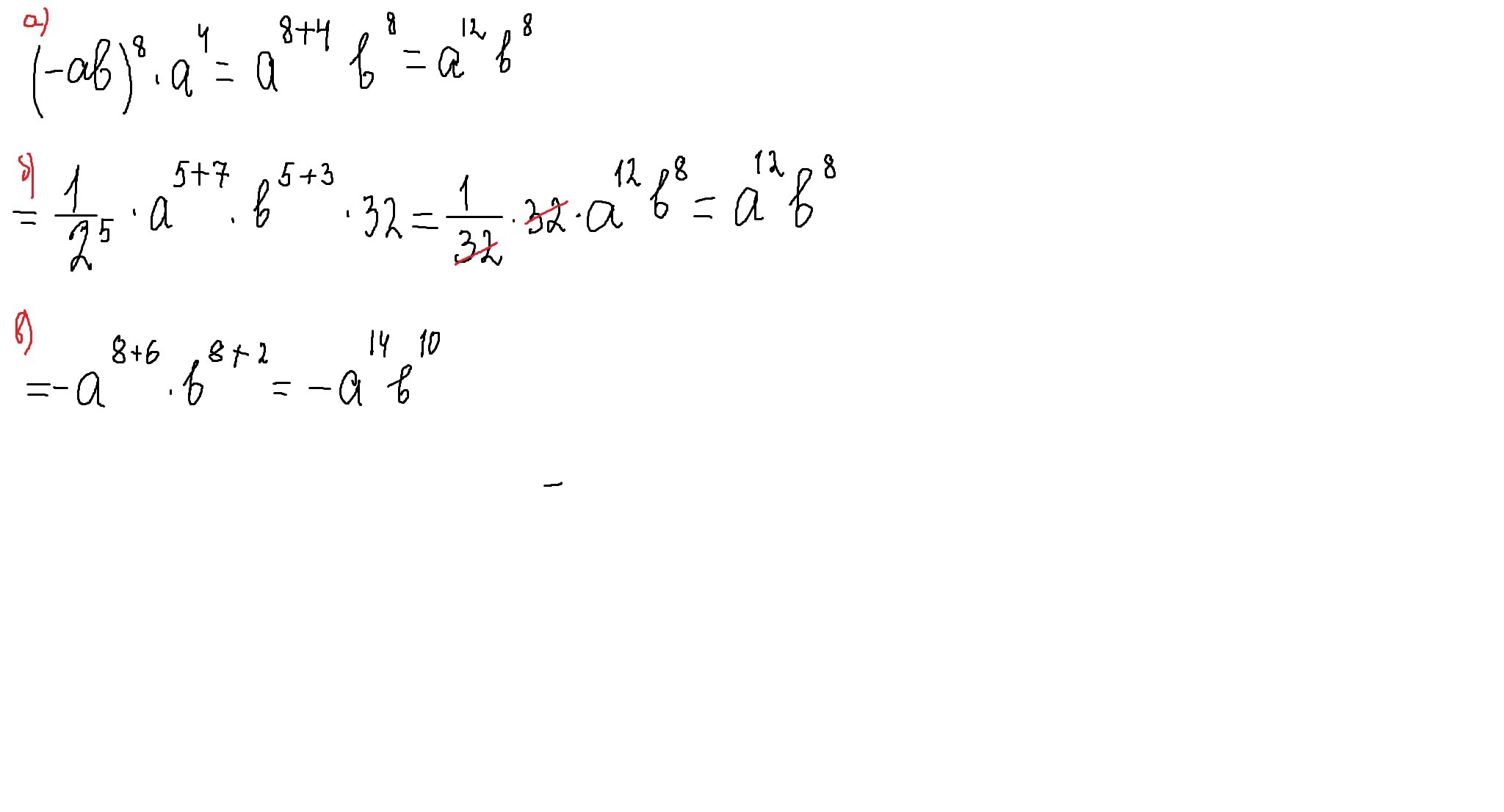
выражения а)и б) внизу все расписано
Приложения:

Вас заинтересует
3 года назад
3 года назад
9 лет назад
9 лет назад
9 лет назад