• Предмет: Математика
  • Автор: Аноним
  • Вопрос задан 9 лет назад

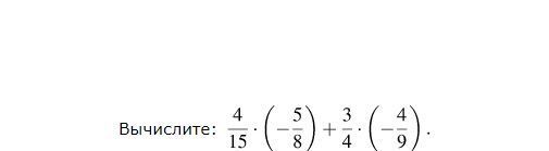
помогите плиз 40 баллов

Приложения:

Ответы

Ответ дал: Индигирка
0
-1/6-1/3=-1/6-2/6=-3/6=-1/2
Вас заинтересует