Ответы
Ответ дал:
0
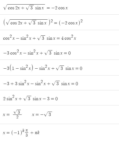
1) ....(картинка 1)
но поскольку подкоренное выражение, а соответственно и -2cosx должны быть неотрицательны подходит x = π/3 + 2πk
2) 5
3) 2
4) (картинка 2)
5) 1
но это не точно
но поскольку подкоренное выражение, а соответственно и -2cosx должны быть неотрицательны подходит x = π/3 + 2πk
2) 5
3) 2
4) (картинка 2)
5) 1
но это не точно
Приложения:
Вас заинтересует
2 года назад
2 года назад
3 года назад
9 лет назад
10 лет назад